| Συνδεθείτε στην Υπηρεσία Νομοσκόπιο | | | | | Νέοι χρήστες | | Εάν είστε νέος χρήστης, θα πρέπει να δημιουργήσετε ένα ΔΩΡΕΑΝ λογαριασμό προκειμένου να φύγει το παράθυρο αυτό και να αποκτήσετε πλήρη πρόσβαση στην υπηρεσία Νομοσκόπιο. | | Δημιουργία νέου λογαριασμού | | |
Μετά το πρώτο εδάφιο της υποπερίπτωσης β)β' της περίπτωσης α' της παραγράφου 1 του άρθρου 13 του Κώδικα Φορολογίας Εισοδήματος προστίθενται δεκατέσσερα νέα εδάφια, τα οποία έχουν ως εξής:
{Για τον υπολογισμό της ωφέλειας, που προκύπτει από τη μεταβίβαση μεριδίων ημεδαπής εταιρείας περιορισμένης ευθύνης, αφαιρείται το κόστος απόκτησης της από την κατώτατη πραγματική αξία που έχουν κατά το χρόνο μεταβίβασης.
Για τον προσδιορισμό της κατώτατης πραγματικής αξίας των μεριδίων που μεταβιβάζονται, ως κατώτατη πραγματική αξία ολόκληρης της εταιρίας λαμβάνεται το άθροισμα: i) των ιδίων κεφαλαίων της, που εμφανίζονται στον τελευταίο πριν από τη μεταβίβαση επίσημο ισολογισμό, ii) της άυλης αξίας της, iii) της αξίας των ακινήτων της εταιρείας κατά το μέρος που η αξία του καθενός από αυτά, όπως αυτή προσδιορίζεται κατά το χρόνο μεταβίβασης στη φορολογία μεταβίβασης ακινήτων, υπερβαίνει την αξία κτήσης του και iv) των αυξήσεων των ιδίων κεφαλαίων που έχουν μεσολαβήσει από το χρόνο σύνταξης του τελευταίου επίσημου ισολογισμού μέχρι το χρόνο μεταβίβασης των μεριδίων ή των μειώσεων των ιδίων κεφαλαίων που έχουν γίνει στο ίδιο χρονικό διάστημα.
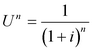
Ειδικότερα, για τον προσδιορισμό της άυλης αξίας, αφαιρούνται οι τόκοι των ιδίων κεφαλαίων της εταιρείας, οι οποίοι υπολογίζονται με βάση το μέσο όρο του επιτοκίου των εντόκων γραμματίων του Ελληνικού Δημοσίου ετήσιας διάρκειας, που εκδόθηκαν το Δεκέμβριο του έτους που προηγείται της μεταβίβασης, από το μέσο όρο των ολικών αποτελεσμάτων εκμετάλλευσης των πέντε (5) τελευταίων, πριν από τη μεταβίβαση, ισολογισμών και το ποσό που προκύπτει (R) αναπροσαρμόζεται αρχικά με την εφαρμογή της σταθερής ληξιπρόθεσμης ράντας:

και στη συνέχεια το αποτέλεσμα που προκύπτει προσαυξάνεται με τους ακόλουθους ποσοστιαίους συντελεστές, ανάλογα με τα έτη λειτουργίας της επιχείρησης:
Έτη λειτουργίας
|
Συντελεστές
|
Πάνω από 3 μέχρι 5
|
10%
|
Πάνω από 5 μέχρι 10
|
20%
|
Πάνω από 10 μέχρι 15
|
30%
|
Πάνω από 15
|
40%
|
Για την εφαρμογή της πιο πάνω ράντας:
| • | α = το ποσό που προκύπτει μετά την αναπροσαρμογή και αποτελεί την άυλη αξία της επιχείρησης, |
| • | R = το ποσό που αναπροσαρμόζεται και αναφέρεται στο υπερκέρδος της επιχείρησης, |
| • | n = το πενταετές μελλοντικό χρονικό διάστημα για το οποίο προσδοκάται υπερκέρδος, |

η παρούσα αξία του κεφαλαίου, η αξία του οποίου μετά από το πιο πάνω μελλοντικό διάστημα (η) είναι ένα λεπτό του ευρώ,
| • | i = το επιτόκιο των εντόκων γραμματίων του Ελληνικού Δημοσίου ετήσιας διάρκειας. |
Σε περίπτωση που νόμιμα έχουν καταρτιστεί λιγότεροι των πέντε (5) ισολογισμών, λαμβάνονται υπόψη τα πιο πάνω στοιχεία των εν λόγω ισολογισμών.
Όταν η εταιρεία της οποίας μεταβιβάζονται τα μερίδια έχει προέλθει από μετατροπή ή συγχώνευση άλλων επιχειρήσεων και έχει καταρτίσει λιγότερους από τρεις (3) ισολογισμούς, πριν από τη μεταβίβαση των μεριδίων της, τότε για την εξεύρεση του μέσου όρου των ολικών αποτελεσμάτων εκμετάλλευσης, λαμβάνονται υπόψη τα ολικά αποτελέσματα εκμετάλλευσης και τα ίδια κεφάλαια όσων ισολογισμών αυτής υπάρχουν, καθώς και τα αποτελέσματα και τα ίδια κεφάλαια όσων από τους τελευταίους ισολογισμούς των επιχειρήσεων που έχουν μετασχηματισθεί και τηρούσαν βιβλία Γ' κατηγορίας του Κώδικα Βιβλίων και Στοιχείων απαιτούνται, ώστε στο επίπεδο της επιχείρησης να συγκεντρωθούν τρεις (3) ισολογισμοί.
Προκειμένου για μεταβιβάσεις μεριδίων από επιχειρήσεις που τηρούν βιβλία Γ' κατηγορίας του Κώδικα Βιβλίων και Στοιχείων, ως κόστος απόκτησης των μεταβιβαζομένων μεριδίων λαμβάνεται αυτό που έχει καταχωρηθεί στα βιβλία τους, ανεξάρτητα από το χρόνο απόκτησης τους.
Για τα φυσικά πρόσωπα και τις επιχειρήσεις με βιβλία Α' ή Β' κατηγορίας του Κώδικα Βιβλίων και Στοιχείων, που μεταβιβάζουν μερίδια, ως κόστος απόκτησης λαμβάνεται η ελάχιστη αξία μεταβίβασης των μεριδίων, η οποία έχει υπολογισθεί κατά την απόκτηση τους, με βάση τις διατάξεις του παρόντος ή της 1030366/10307/Β0012/ΠΟΛ1053/01-04-2003 απόφαση Υπουργού Οικονομικών (ΦΕΚ 477/Β/2003), η οποία εκδόθηκε κατ' εξουσιοδότηση της παραγράφου 5 του άρθρου 3 του νόμου 3091/2002 (ΦΕΚ 330/Α/2002) ή της 1119720/1980/Α0012/ΠΟΛ1259/1999 απόφαση Υπουργού Οικονομικών (ΦΕΚ 2227/Β/1999), η οποία εκδόθηκε κατ' εξουσιοδότηση της παραγράφου 11 του άρθρου 3 του νόμου [Ν] 2753/1999 (ΦΕΚ 249/Α/1999) ανάλογα με το χρόνο απόκτησης τους, κατά περίπτωση.
Αν τα μεταβιβαζόμενα μερίδια ή μέρος αυτών έχουν αποκτηθεί πριν από το χρόνο έναρξης ισχύος της προγενέστερης από τις πιο πάνω αποφάσεις, ως αξία κτήσης λαμβάνεται αυτή που οριστικοποιήθηκε με οποιονδήποτε τρόπο κατά την εφαρμογή των διατάξεων φορολογίας εισοδήματος ή κληρονομιών, δωρεών, γονικών παροχών ή σε περίπτωση μη οριστικοποίησης, η δηλωθείσα αξία. Όταν τα μεταβιβαζόμενα μερίδια έχουν αποκτηθεί κατά την ίδρυση της εταιρείας περιορισμένης ευθύνης, ως κόστος απόκτησης των μεριδίων αυτών λαμβάνεται η αξία τους, όπως αυτή αναφέρεται στο καταστατικό της εταιρείας. Εάν μέχρι το χρόνο μεταβίβασης των μεριδίων έχει λάβει χώρα τυχόν αύξηση ή μείωση του κεφαλαίου, ως κόστος απόκτησης λαμβάνεται ο μέσος όρος του κεφαλαίου των πέντε (5) προηγούμενων χρήσεων πριν από τη μεταβίβαση και σε περίπτωση κατά την οποία έχουν παρέλθει λιγότερες από τις πέντε (5) χρήσεις, ως κόστος απόκτησης λαμβάνεται ο μέσος όρος του κεφαλαίου αυτών των χρήσεων.
Αν από το συμβολαιογραφικό έγγραφο ή το ιδιωτικό συμφωνητικό προκύπτει αξία μεταβίβασης μεγαλύτερη της ελάχιστης αξίας που προσδιορίζεται σύμφωνα με τις παραπάνω παραγράφους, ως αξία πώλησης λαμβάνεται η συμφωνηθείσα.
Η διάταξη της περίπτωσης α' της παραγράφου αυτής εφαρμόζεται και για μεταβιβάσεις μεριδίων αλλοδαπών εταιρειών περιορισμένης ευθύνης από ημεδαπά φυσικά ή νομικά πρόσωπα. Για τον υπολογισμό της ωφέλειας, που προκύπτει από τη μεταβίβαση μεριδίων αλλοδαπής εταιρείας περιορισμένης ευθύνης, αφαιρείται το κόστος απόκτησης τους από τη συμφωνηθείσα αξία πώλησης των μεριδίων.}