| Συνδεθείτε στην Υπηρεσία Νομοσκόπιο | | | | | Νέοι χρήστες | | Εάν είστε νέος χρήστης, θα πρέπει να δημιουργήσετε ένα ΔΩΡΕΑΝ λογαριασμό προκειμένου να φύγει το παράθυρο αυτό και να αποκτήσετε πλήρη πρόσβαση στην υπηρεσία Νομοσκόπιο. | | Δημιουργία νέου λογαριασμού | | |
1. Φορολογείται αυτοτελώς λογιζόμενο ως εισόδημα:
α) Με συντελεστή είκοσι τοις εκατό (20%) κάθε κέρδος ή ωφέλεια που προέρχεται από τη μεταβίβαση:
α)α) Ολόκληρης επιχείρησης με τα άυλο στοιχεία αυτής, όπως αέρας, επωνυμία, σήμα, προνόμια κ.τ.λ. ή υποκαταστήματος επιχείρησης, όπως αυτό ορίζεται από τις διατάξεις της παραγράφου 1 του άρθρου 9 του Κώδικα Βιβλίων και Στοιχείων.
β)β) Εταιρικών μερίδων ή μεριδίων ποσοστών συμμετοχής σε κοινωνία αστικού δικαίου που ασκεί επιχείρηση ή επάγγελμα ή σε κοινοπραξία,εκτός κοινοπραξίας τεχνικών έργων, της παραγράφου 2 του άρθρου 2 του Κώδικα Βιβλίων και Στοιχείων.
Για τον υπολογισμό της ωφέλειας, που προκύπτει από τη μεταβίβαση μεριδίων ημεδαπής εταιρείας περιορισμένης ευθύνης, αφαιρείται το κόστος απόκτησης της από την κατώτατη πραγματική αξία που έχουν κατά το χρόνο μεταβίβασης.
Για τον προσδιορισμό της κατώτατης πραγματικής αξίας των μεριδίων που μεταβιβάζονται, ως κατώτατη πραγματική αξία ολόκληρης της εταιρίας λαμβάνεται το άθροισμα: i) των ιδίων κεφαλαίων της, που εμφανίζονται στον τελευταίο πριν από τη μεταβίβαση επίσημο ισολογισμό, ii) της άυλης αξίας της, iii) της αξίας των ακινήτων της εταιρείας κατά το μέρος που η αξία του καθενός από αυτά, όπως αυτή προσδιορίζεται κατά το χρόνο μεταβίβασης στη φορολογία μεταβίβασης ακινήτων, υπερβαίνει την αξία κτήσης του και iv) των αυξήσεων των ιδίων κεφαλαίων που έχουν μεσολαβήσει από το χρόνο σύνταξης του τελευταίου επίσημου ισολογισμού μέχρι το χρόνο μεταβίβασης των μεριδίων ή των μειώσεων των ιδίων κεφαλαίων που έχουν γίνει στο ίδιο χρονικό διάστημα.
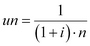
Ειδικότερα, για τον προσδιορισμό της άυλης αξίας, αφαιρούνται οι τόκοι των ιδίων κεφαλαίων της εταιρείας, οι οποίοι υπολογίζονται με βάση το μέσο όρο του επιτοκίου των εντόκων γραμματίων του Ελληνικού Δημοσίου ετήσιας διάρκειας, που εκδόθηκαν το Δεκέμβριο του έτους που προηγείται της μεταβίβασης, από το μέσο όρο των ολικών αποτελεσμάτων εκμετάλλευσης των πέντε (5) τελευταίων, πριν από τη μεταβίβαση, ισολογισμών και το ποσό που προκύπτει (R) αναπροσαρμόζεται αρχικά με την εφαρμογή της σταθερής ληξιπρόθεσμης ράντας:

και στη συνέχεια το αποτέλεσμα που προκύπτει προσαυξάνεται με τους ακόλουθους ποσοστιαίους συντελεστές, ανάλογα με τα έτη λειτουργίας της επιχείρησης:
Έτη λειτουργίας
|
Συντελεστές
|
Πάνω από 3 μέχρι 5
|
10%
|
Πάνω από 5 μέχρι 10
|
20%
|
Πάνω από 10 μέχρι 15
|
30%
|
Πάνω από 15
|
40%
|
Για την εφαρμογή της πιο πάνω ράντας:
| • | α = το ποσό που προκύπτει μετά την αναπροσαρμογή και αποτελεί την άυλη αξία της επιχείρησης, |
| • | R = το ποσό που αναπροσαρμόζεται και αναφέρεται στο υπερκέρδος της επιχείρησης, |
| • | n = το πενταετές μελλοντικό χρονικό διάστημα για το οποίο προσδοκάται υπερκέρδος, |
| • | η παρούσα αξία του κεφαλαίου, η αξία του οποίου μετά από το πιο πάνω μελλοντικό διάστημα (η) είναι ένα λεπτό του ευρώ, |
| • | i = το επιτόκιο των εντόκων γραμματίων του Ελληνικού Δημοσίου ετήσιας διάρκειας. |
Σε περίπτωση που νόμιμα έχουν καταρτιστεί λιγότεροι των πέντε (5) ισολογισμών, λαμβάνονται υπόψη τα πιο πάνω στοιχεία των εν λόγω ισολογισμών.
Όταν η εταιρεία της οποίας μεταβιβάζονται τα μερίδια έχει προέλθει από μετατροπή ή συγχώνευση άλλων επιχειρήσεων και έχει καταρτίσει λιγότερους από τρεις (3) ισολογισμούς, πριν από τη μεταβίβαση των μεριδίων της, τότε για την εξεύρεση του μέσου όρου των ολικών αποτελεσμάτων εκμετάλλευσης, λαμβάνονται υπόψη τα ολικά αποτελέσματα εκμετάλλευσης και τα ίδια κεφάλαια όσων ισολογισμών αυτής υπάρχουν, καθώς και τα αποτελέσματα και τα ίδια κεφάλαια όσων από τους τελευταίους ισολογισμούς των επιχειρήσεων που έχουν μετασχηματισθεί και τηρούσαν βιβλία Γ' κατηγορίας του Κώδικα Βιβλίων και Στοιχείων απαιτούνται, ώστε στο επίπεδο της επιχείρησης να συγκεντρωθούν τρεις (3) ισολογισμοί.
Ειδικά για μεταβιβάσεις που πραγματοποιούνται μεταξύ ημεδαπής επιχείρησης και επιχειρήσεων συνδεδεμένων με αυτή, εφαρμόζονται οι διατάξεις των άρθρων 39 και 39Α.
Προκειμένου για μεταβιβάσεις μεριδίων από επιχειρήσεις που τηρούν βιβλία Γ' κατηγορίας του Κώδικα Βιβλίων και Στοιχείων, ως κόστος απόκτησης των μεταβιβαζομένων μεριδίων λαμβάνεται αυτό που έχει καταχωρηθεί στα βιβλία τους, ανεξάρτητα από το χρόνο απόκτησης τους.
Για τα φυσικά πρόσωπα και τις επιχειρήσεις με βιβλία Α' ή Β' κατηγορίας του Κώδικα Βιβλίων και Στοιχείων, που μεταβιβάζουν μερίδια, ως κόστος απόκτησης λαμβάνεται η ελάχιστη αξία μεταβίβασης των μεριδίων, η οποία έχει υπολογισθεί κατά την απόκτηση τους, με βάση τις διατάξεις του παρόντος ή της [Α] 1030366/10307/Β0012/ΠΟΛ1053/2003 απόφασης Υπουργού Οικονομικών (ΦΕΚ 477/Β/2003), η οποία εκδόθηκε κατ' εξουσιοδότηση της παραγράφου 5 του άρθρου 3 του νόμου 3091/2002 (ΦΕΚ 330/Α/2002) ή της [Α] 1119720/1980/Α0012/ΠΟΛ1259/1999 απόφασης Υπουργού Οικονομικών (ΦΕΚ 2227/Β/1999), η οποία εκδόθηκε κατ' εξουσιοδότηση της παραγράφου 11 του άρθρου 3 του νόμου [Ν] 2753/1999 (ΦΕΚ 249/Α/1999) ανάλογα με το χρόνο απόκτησης τους, κατά περίπτωση.
Αν τα μεταβιβαζόμενα μερίδια ή μέρος αυτών έχουν αποκτηθεί πριν από το χρόνο έναρξης ισχύος της προγενέστερης από τις πιο πάνω αποφάσεις, ως αξία κτήσης λαμβάνεται αυτή που οριστικοποιήθηκε με οποιονδήποτε τρόπο κατά την εφαρμογή των διατάξεων φορολογίας εισοδήματος ή κληρονομιών, δωρεών, γονικών παροχών ή σε περίπτωση μη οριστικοποίησης, η δηλωθείσα αξία. Όταν τα μεταβιβαζόμενα μερίδια έχουν αποκτηθεί κατά την ίδρυση της εταιρείας περιορισμένης ευθύνης, ως κόστος απόκτησης των μεριδίων αυτών λαμβάνεται η αξία τους, όπως αυτή αναφέρεται στο καταστατικό της εταιρείας. Εάν μέχρι το χρόνο μεταβίβασης των μεριδίων έχει λάβει χώρα τυχόν αύξηση ή μείωση του κεφαλαίου, ως κόστος απόκτησης λαμβάνεται ο μέσος όρος του κεφαλαίου των πέντε (5) προηγούμενων χρήσεων πριν από τη μεταβίβαση και σε περίπτωση κατά την οποία έχουν παρέλθει λιγότερες από τις πέντε (5) χρήσεις, ως κόστος απόκτησης λαμβάνεται ο μέσος όρος του κεφαλαίου αυτών των χρήσεων.
Αν από το συμβολαιογραφικό έγγραφο ή το ιδιωτικό συμφωνητικό προκύπτει αξία μεταβίβασης μεγαλύτερη της ελάχιστης αξίας που προσδιορίζεται σύμφωνα με τις παραπάνω παραγράφους, ως αξία πώλησης λαμβάνεται η συμφωνηθείσα.
Η διάταξη της περίπτωσης α' της παραγράφου αυτής εφαρμόζεται και για μεταβιβάσεις μεριδίων αλλοδαπών εταιρειών περιορισμένης ευθύνης από ημεδαπά φυσικά ή νομικά πρόσωπα. Για τον υπολογισμό της ωφέλειας, που προκύπτει από τη μεταβίβαση μεριδίων αλλοδαπής εταιρείας περιορισμένης ευθύνης, αφαιρείται το κόστος απόκτησης τους από τη συμφωνηθείσα αξία πώλησης των μεριδίων.
Με μεταβίβαση εταιρικών μερίδων ή μεριδίων εξομοιώνεται και η μη συμμετοχή εταίρου στην αύξηση του κεφαλαίου προσωπικής εταιρίας ή εταιρίας περιορισμένης ευθύνης.
Αν μεταβιβαστεί από επαχθή αιτία ατομική επιχείρηση ή μερίδιο ομόρρυθμης ή ετερόρρυθμης εταιρίας από γονέα προς τα τέκνα του ή από σύζυγο σε σύζυγο, λόγω συνταξιοδότησης του μεταβιβάζοντος, δεν υπόκειται σε φόρο υπεραξίας. Αν όμως η ομόρρυθμη ή ετερόρρυθμη εταιρία διαθέτει ακίνητο στα πάγια περιουσιακά της στοιχεία, η αντικειμενική αξία του ακινήτου, που ισχύει κατά το έτος αποτίμησης της επιχείρησης, φορολογείται με συντελεστή πέντε τοις εκατό (5%) επί του ποσοστού του μεριδίου που μεταβιβάζεται. Αν μεταβιβαστεί από επαχθή αιτία ατομική επιχείρηση ή μερίδιο προσωπικής εταιρείας ή εταιρείας περιορισμένης ευθύνης από δικαιούχο με βαθμό συγγένειας της Α' κατηγορίας της παραγράφου 1 του άρθρου 29 του νόμου [Ν] 2961/2001, η υπεραξία φορολογείται με συντελεστή 5%. Για τις ίδιες μεταβιβάσεις από δικαιούχους με βαθμό συγγένειας της Β' κατηγορίας της παραγράφου 1 του άρθρου 29 του νόμου [Ν] 2961/2001 η υπεραξία φορολογείται με συντελεστή δέκα τοις εκατό (10%).
Σε περιπτώσεις ευθύνης του αποκτώντος κατ' εφαρμογή της παρούσας περίπτωσης, η βεβαίωση δεν είναι έγκυρη εφόσον δεν έχει προηγουμένως κοινοποιηθεί το φύλλο ελέγχου. Εφόσον κατ' εφαρμογή της ανωτέρω διάταξης ακυρώνεται το φύλλο ελέγχου κατά το τελευταίο έτος της παραγραφής, ή μετά τη συμπλήρωση του χρόνου της παραγραφής, ο προϊστάμενος της Δημόσιας Οικονομικής Υπηρεσίας υποχρεούται να εκδώσει και να κοινοποιήσει νέο φύλλο ελέγχου μέσα σε 1 έτος από τη δημοσίευση του παρόντος νόμου.
Η μίσθωση ακινήτου, στο οποίο λειτουργούσε επιχείρηση, μετά μίσθωσης ή αγοράς του τυχόν υφιστάμενου εξοπλισμού, σε άλλη επιχείρηση, δεν συνιστά μεταβίβαση επιχείρησης για την επιβολή φόρου υπεραξίας.
β) Με συντελεστή είκοσι τοις εκατό (20%) κάθε κέρδος ή ωφέλεια που προέρχεται από την εκχώρηση ή μεταβίβαση αυτοτελώς κάθε δικαιώματος, το οποίο είναι συναφές με την άσκηση της επιχείρησης ή του επαγγέλματος, όπως του δικαιώματος της μίσθωσης ή υπομίσθωσης ή του προνομίου ή του διπλώματος ευρεσιτεχνίας και άλλων παρόμοιων δικαιωμάτων, καθώς και της άδειας κυκλοφορίας των αυτοκινήτων οχημάτων ή μοτοσυκλετών δημόσιας χρήσης που μεταβιβάζονται. Με εκχώρηση εξομοιώνεται και η παραίτηση από μισθωτικά δικαιώματα.
Ο δικαιούχος του κέρδους ή της ωφέλειας, που προκύπτει από την εφαρμογή αυτής της παραγράφου, επιβαρύνεται με τον οικείο φόρο και καταβάλλει αυτόν εφάπαξ με την υποβολή δήλωσης στην αρμόδια δημόσια οικονομική υπηρεσία της περιφέρειας όπου βρίσκεται η έδρα της επιχείρησης της οποίας μεταβιβάζεται ή εκχωρείται το περιουσιακό στοιχείο, πριν από τη με οποιονδήποτε τρόπο μεταβίβαση ή εκχώρηση του οικείου περιουσιακού στοιχείου. Η σχετική δήλωση υποβάλλεται σε τρία (3) αντίτυπα από τα οποία τα δύο (2) επιστρέφονται θεωρημένα στο δικαιούχο του κέρδους ή της ωφέλειας. Εάν η οικεία πράξη μεταβίβασης ή εκχώρησης γίνεται με ιδιωτικό έγγραφο,ο προϊστάμενος της αρμόδιας Δημόσιας Οικονομικής Υπηρεσίας υποχρεούται να αρνηθεί τη θεώρηση του εγγράφου αυτού, εάν δεν επισυνάπτεται σε αυτό αντίτυπο της οικείας δήλωσης και δεν αναγράφονται στο σώμα του εγγράφου τα στοιχεία αυτής. Στο ιδιωτικό αυτό έγγραφο πρέπει απαραιτήτως να αναγράφεται το κέρδος ή η ωφέλεια που προέκυψε από την εκχώρηση του δικαιώματος ή του εταιρικού μεριδίου ή ολόκληρης της επιχείρησης. Σε περίπτωση εκχώρησης ή μεταβίβασης περιουσιακού στοιχείου από τα αναφερόμενα στη διάταξη αυτή, χωρίς να υποβληθεί η οικεία δήλωση από το δικαιούχο του κέρδους ή της ωφέλειας για να καταβληθεί με βάση αυτή ο φόρος εφάπαξ, το πρόσωπο που αποκτά το περιουσιακό στοιχείο είναι αλληλεγγύως και εις ολόκληρον συνυπεύθυνο με τον μεταβιβάζοντα ή εκχωρούνται για την πληρωμή του φόρου που οφείλεται.
γ) Με συντελεστή είκοσι τοις εκατό (20%) κάθε ποσό που καταβάλλεται, πέρα από τα μισθώματα, από το μισθωτή προς τον εκμισθωτή, σε περίπτωση μίσθωσης ακινήτου μόνου του ή μαζί με τον οποιονδήποτε εξοπλισμό ή εγκατάσταση που τυχόν διαθέτει. Τα αναφερόμενα στα επόμενα εδάφια αυτής της παραγράφου, καθώς και στην παράγραφο 8 του άρθρου 81, εφαρμόζονται ανάλογα και σ' αυτή την περίπτωση.
Όταν δικαιούχοι των εισοδημάτων της παραγράφου αυτής είναι πρόσωπα που αναφέρονται στην παράγραφο 1 του άρθρου 101, με την καταβολή του πιο πάνω φόρου δεν εξαντλείται η φορολογική υποχρέωση των δικαιούχων, αλλά τα εισοδήματα αυτά φορολογούνται με τις γενικές διατάξεις.
ΣΗΜΕΙΩΣΗ: Η παράγραφος 1 τίθεται όπως τροποποιήθηκε με το άρθρο 11 του νόμου 3522/2006 (ΦΕΚ 276/Α/2006), με την παράγραφο 1 του άρθρου 3 του νόμου [Ν] 2753/1999 (ΦΕΚ 249/Α/1999), με την παράγραφο 5 του άρθρου 1 του νόμου 2954/2001 (ΦΕΚ 255/Α/2001), με την παράγραφο 2)α του άρθρου 5 του νόμου 3842/2010 (ΦΕΚ 58/Α/2010), με την παράγραφο 1 άρθρο 15 του νόμου 2459/1997 (ΦΕΚ 17/Α/1997), με την παράγραφο 1 του άρθρου 6 του νόμου 2386/1996 (ΦΕΚ 43/Α/1996), με την παράγραφο 3 του άρθρου 4 του νόμου [Ν] 2390/1996(ΦΕΚ 54/Α/1996), με την παράγραφο 3 του άρθρου 3 του νόμου 3091/2002 (ΦΕΚ 330/Α/2002), με την παράγραφο 6 του άρθρου 8 του νόμου 3091/2002 (ΦΕΚ 330/Α/2002), με την παράγραφο 14 του άρθρου 21 του νόμου 3943/2011 (ΦΕΚ 66/Α/2011), με την παράγραφο 6 του άρθρου 11 του νόμου 4110/2013 (ΦΕΚ 17/Α/2013), με το άρθρο τρίτο του νόμου 4218/2013 (ΦΕΚ 261/Α/2013), με την παράγραφο 1 του άρθρου 45 του νόμου [Ν] 4489/2017 (ΦΕΚ 140/Α/2017), με την παράγραφο 1 του άρθρου 59 του νόμου 4587/2018 (ΦΕΚ 216/Α/2018).
|
2. Φορολογείται αυτοτελώς με συντελεστή 20% η υπεραξία που προκύπτει από τη μεταβίβαση μετοχών ημεδαπών ανωνύμων εταιρειών μη εισηγμένων στο Χρηματιστήριο Αθηνών, που αποκτούν φυσικά ή νομικά πρόσωπα, ημεδαπά ή αλλοδαπά. Για τον υπολογισμό της υπεραξίας του προηγούμενου εδαφίου αφαιρείται το κόστος απόκτησης των μεταβιβαζομένων μετοχών από την κατώτατη πραγματική αξία που έχουν αυτές κατά το χρόνο της μεταβίβασης. Η κατώτατη πραγματική αξία των μετοχών που μεταβιβάζονται, εξευρίσκεται ως εξής:
α) Τα ίδια κεφάλαια της εταιρείας, που εμφανίζονται στον τελευταίο πριν από τη μεταβίβαση επίσημο ισολογισμό και όπως αυτά διαμορφώνονται μετά από αύξηση ή μείωση που έχει πραγματοποιηθεί μέχρι και την προηγούμενη ημέρα της μεταβίβασης, προσαυξάνονται με την απόδοση των ιδίων κεφαλαίων των 5 τελευταίων διαχειριστικών περιόδων πριν από τη μεταβίβαση. Στο αποτέλεσμα που προκύπτει προστίθεται και η υφιστάμενη διαφορά μεταξύ της αξίας των ακινήτων της εταιρείας, όπως αυτή προσδιορίζεται κατά το χρόνο της μεταβίβασης στη φορολογία μεταβίβασης ακινήτων και της εμφανιζόμενης στα βιβλία αξίας κτήσης αυτών, αν η δεύτερη είναι μικρότερη της πρώτης. Το ποσό που προκύπτει σύμφωνα με τα πιο πάνω, διαιρούμενο δια του αριθμού των υφιστάμενων κατά το χρόνο μεταβίβασης μετοχών, αντιπροσωπεύει την ελάχιστη πραγματική αξία της κάθε μετοχής, η οποία λαμβάνεται υπόψη για τον προσδιορισμό της αξίας των μετοχών που μεταβιβάζονται.
β) Ως απόδοση ιδίων κεφαλαίων λαμβάνεται ο λόγος του μέσου όρου των ολικών αποτελεσμάτων εκμετάλλευσης (προ φόρων) των 5 τελευταίων, πριν από τη μεταβίβαση, ισολογισμών και του μέσου όρου των ιδίων κεφαλαίων της ίδιας χρονικής περιόδου. Σε περίπτωση που νόμιμα έχουν καταρτισθεί λιγότεροι από 5 ισολογισμοί, λαμβάνονται υπόψη τα στοιχεία των ισολογισμών αυτών. Αν το άθροισμα των ολικών αποτελεσμάτων είναι αρνητικό, δεν λαμβάνεται υπόψη καμία απόδοση.
γ) Όταν η εταιρεία της οποίας μεταβιβάζονται οι μετοχές έχει προέλθει από μετατροπή ή συγχώνευση άλλων ανωνύμων εταιρειών ή άλλων μορφών επιχειρήσεων και η μεταβίβαση λαμβάνει χώρα πριν από τη σύνταξη τριών ισολογισμών, λαμβάνονται υπόψη τα στοιχεία της προηγούμενης περίπτωσης, που προκύπτουν και από τους ισολογισμούς των επιχειρήσεων που έχουν μετασχηματισθεί, εφόσον τηρούσαν βιβλία με τη διπλογραφική μέθοδο, ώστε να λαμβάνονται υπόψη στοιχεία τριών ισολογισμών συνολικά.
δ) Σε περίπτωση που από το συμβολαιογραφικό έγγραφο ή ιδιωτικό συμφωνητικό προκύπτει ως πραγματική αξία μεταβίβασης μετοχών μεγαλύτερη αυτής που προκύπτει, σύμφωνα με τις διατάξεις των περιπτώσεων α' έως γ', λαμβάνεται υπόψη η συμφωνηθείσα.
Ως κόστος απόκτησης των μεταβιβαζομένων μετοχών λαμβάνεται αυτό που ορίζεται στην παράγραφο 1. Οι διατάξεις της παραγράφου αυτής εφαρμόζονται και για μεταβιβάσεις μετοχών αλλοδαπών ανωνύμων εταιρειών μη εισηγμένων σε διεθνώς αναγνωρισμένο χρηματιστηριακό θεσμό από ημεδαπά φυσικά ή νομικά πρόσωπα. Για τον υπολογισμό της υπεραξίας, που προκύπτει από τη μεταβίβαση μετοχών αλλοδαπής ανώνυμης εταιρίας αφαιρείται το κόστος απόκτησής τους από τη συμφωνηθείσα αξία πώλησης των μετοχών. Ειδικά για μεταβιβάσεις μετοχών που πραγματοποιούνται μεταξύ ημεδαπής επιχείρησης και επιχειρήσεων συνδεδεμένων με αυτή, εφαρμόζονται οι διατάξεις των άρθρων 39 και 39Α.
Για την καταβολή του φόρου αυτού και την υποβολή της σχετικής δήλωσης έχουν εφαρμογή τα αναφερόμενα στις διατάξεις της προηγούμενης παραγράφου. Οι διατάξεις της παραγράφου αυτής έχουν εφαρμογή και επί εισφοράς των τίτλων που αναφέρονται στο πρώτο εδάφιο, για την κάλυψη του κεφαλαίου νεοϊδρυόμενης, ημεδαπής ή αλλοδαπής εταιρείας ή για την αύξηση του κεφαλαίου υφιστάμενης. Ως κατώτατη πραγματική αξία των μετοχών που εισφέρονται για την κάλυψη ή αύξηση του κεφαλαίου ημεδαπής εταιρείας, λαμβάνεται η αξία η οποία προσδιορίζεται από την Εκτιμητική Επιτροπή του άρθρου 9 του κωδικοποιημένου νόμου [Ν] 2190/1920. Όταν δικαιούχοι των εισοδημάτων της παραγράφου αυτής είναι πρόσωπα που αναφέρονται στην παράγραφο 1 του άρθρου 101, με την καταβολή του πιο πάνω φόρου δεν εξαντλείται η φορολογική υποχρέωση των δικαιούχων αλλά τα εισοδήματα αυτά φορολογούνται με τις γενικές διατάξεις.
3. Η καθοριζόμενη αμοιβή που ορίζεται από τις διατάξεις της παραγράφου 1 του άρθρου 1 του προεδρικού διατάγματος 696/1974 όπως ισχύει, όσων ασχολούνται ατομικώς με την ανέγερση οικοδομών προς πώληση, εφόσον αυτοί με την ιδιότητα τους ως αρχιτέκτονες ή πολιτικοί μηχανικοί εκπόνησαν μερικώς ή ολικώς τη μελέτη ή επέβλεψαν την εκτέλεση των εργασιών του οικοδομικού έργου, θεωρείται ότι αποκτάται στο ημερολογιακό έτος που πραγματοποιείται η πρώτη πώληση από το ακίνητο και φορολογείται αυτοτελώς με συντελεστή 15%, πλέον εισφοράς Οργανισμού Γεωργικών Ασφαλίσεων 15% στο ποσό του φόρου. Ο φόρος αυτός υπολογίζεται στην πιο πάνω αμοιβή μειωμένη κατά 10% και καταβάλλεται με δήλωση που υποβάλλεται μέσα στο μήνα Ιανουάριο κάθε χρόνου.
ΣΗΜΕΙΩΣΗ: Η παράγραφος 3 τίθεται όπως αντικαταστάθηκε με την παράγραφο 8)α του άρθρου 20 του νόμου 3943/2011 (ΦΕΚ 66/Α/2011).
|
4. Αν ο αρχιτέκτονας ή πολιτικός μηχανικός, ο οποίος αναλαμβάνει τη σύνταξη της μελέτης ή την επίβλεψη ανέγερσης οικοδομής, συμμετέχει στην επιχείρηση που αναλαμβάνει την ανέγερση και πώληση της οικοδομής, την οποία αφορά η μελέτη ή η επίβλεψη, επιβάλλεται σε βάρος της επιχείρησης φόρος εισοδήματος, ο οποίος υπολογίζεται με συντελεστή 15% στο ακαθάριστο ποσό της καθοριζόμενης αμοιβής που ορίζεται από τις διατάξεις της παραγράφου 1 του άρθρου 1 του προεδρικού διατάγματος 696/1974 όπως ισχύει, ανεξάρτητα από κάθε άλλη επιβάρυνση των αποτελεσμάτων της επιχείρησης από φόρο εισοδήματος, πλέον εισφοράς Οργανισμού Γεωργικών Ασφαλίσεων 15% στο ποσό του φόρου. Σε περίπτωση εφαρμογής της διάταξης αυτής της παραγράφου, ο δικαιούχος της αμοιβής αρχιτέκτονας ή πολιτικός μηχανικός ή μηχανολόγος ή ηλεκτρολόγος μηχανικός, καθώς και τα λοιπά πρόσωπα που συμμετέχουν στην επιχείρηση, απαλλάσσονται από κάθε άλλη επιβάρυνση από φόρο εισοδήματος από την αιτία αυτή. Οι διατάξεις αυτής της παραγράφου εφαρμόζονται μόνο στις περιπτώσεις κατά τις οποίες πριν από τη χρονολογία έκδοσης της πολεοδομικής άδειας, κατατεθεί για το σκοπό αυτό στη δημόσια οικονομική υπηρεσία της έδρας της επιχείρησης, κοινή δήλωση αυτού που συνέταξε τη μελέτη ή θα επιβλέψει την εκτέλεση του έργου μηχανικού και της επιχείρησης και συγχρόνως καταβληθεί ο φόρος που αναλογεί σύμφωνα με τα παραπάνω. Σε περίπτωση που δεν υποβληθεί δήλωση και δεν καταβληθεί ο φόρος, εφαρμόζονται οι διατάξεις των άρθρων 50 και 52 παράγραφος 4.
ΣΗΜΕΙΩΣΗ: Η παράγραφος 4 τίθεται όπως τροποποιήθηκε με την παράγραφο 8)β του άρθρου 20 του νόμου 3943/2011 (ΦΕΚ 66/Α/2011).
|
5. Αν ο αρχιτέκτονας ή πολιτικός μηχανικός που υπογράφει τη μελέτη ή αναλαμβάνει την επίβλεψη είναι μισθωτός της επιχείρησης η οποία αναλαμβάνει τη μελέτη ή επίβλεψη ή ανέγερση της οικοδομής, η επιχείρηση μπορεί να ζητήσει να επιβληθεί σε αυτή φόρος 15% στο ακαθάριστο ποσό της καθοριζόμενης αμοιβής που ορίζεται από τις διατάξεις της παραγράφου 1 του άρθρου 1 του προεδρικού διατάγματος 696/1974 όπως ισχύει, πλέον εισφοράς Οργανισμού Γεωργικών Ασφαλίσεων 15% στο ποσό του φόρου. Το ποσό της αμοιβής μειώνεται κατά το ποσό των ακαθάριστων αποδοχών από μισθωτές υπηρεσίες που καταβάλλονται στον παραπάνω μηχανικό κατά το χρονικό διάστημα από την έναρξη της μελέτης μέχρι την αποπεράτωση της οικοδομής. Ο φόρος της παραγράφου αυτής καταβάλλεται πριν από την έκδοση της πολεοδομικής άδειας. Η διάταξη του δεύτερου εδαφίου της προηγούμενης παραγράφου εφαρμόζεται αναλόγως. Αν η επιχείρηση δεν ζητήσει την εφαρμογή των διατάξεων των προηγούμενων εδαφίων για το ποσό της αμοιβής που φορολογείται κατά τις διατάξεις αυτές, το ποσό αυτό λογίζεται ως εισόδημα από μισθωτές υπηρεσίες του μηχανικού, ο οποίος υπέγραψε τη μελέτη και ανέλαβε την επίβλεψη, για το οποίο η επιχείρηση υποχρεούται να υποβάλει δήλωση και να καταβάλει το φόρο σύμφωνα με τις διατάξεις των άρθρων 57 και 59.
ΣΗΜΕΙΩΣΗ: Η παράγραφος 5 τίθεται όπως τροποποιήθηκε με την παράγραφο 8)γ του άρθρου 20 του νόμου 3943/2011 (ΦΕΚ 66/Α/2011).
|
6. Στις αποζημιώσεις ή τα δικαιώματα που καταβάλλονται σε αλλοδαπές επιχειρήσεις και οργανισμούς που δεν έχουν μόνιμη εγκατάσταση στην Ελλάδα ή σε φυσικά πρόσωπα κατοίκους αλλοδαπής που δεν ασκούν επάγγελμα ή επιχείρηση στην Ελλάδα:
α) για τη χρήση ή παραχώρηση της χρήσης τεχνικών μεθόδων παραγωγής, τεχνικής ή τεχνολογικής βοήθειας, δικαιωμάτων ευρεσιτεχνίας, σημάτων και προνομίων, σχεδίων ή προτύπων γενικά, αποτελεσμάτων ερευνών,κινηματογραφικών και τηλεοπτικών ταινιών, μαγνητοταινιών για ραδιοφωνικές εκπομπές, αναπαραγωγής βιντεοκασετών, πνευματικής ιδιοκτησίας, αναδημοσίευσης άρθρων και μελετών και λοιπών συναφών δικαιωμάτων,
β) για την εκμίσθωση μηχανημάτων, εγκαταστάσεων και γενικά κινητών πραγμάτων, την επισκευή και συντήρηση μηχανημάτων και λοιπού εξοπλισμού, την οργάνωση επιχειρήσεων, την εκπαίδευση προσωπικού και για την παροχή οποιασδήποτε υπηρεσίας και κάθε είδους συμβουλών στην Ελλάδα, καθώς και στις αμοιβές, που καταβάλλονται σε ξένα καλλιτεχνικά συγκροτήματα ή μεμονωμένους καλλιτέχνες κατοίκους ξένων χωρών για τη συμμετοχή τους σε διάφορες καλλιτεχνικές εκδηλώσεις στην Ελλάδα, ενεργείται από τον υπόχρεο για την καταβολή, παρακράτηση φόρου εισοδήματος που βαρύνει το δικαιούχο της αποζημίωσης ή του δικαιώματος ή της αμοιβής.
Ομοίως, ενεργείται παρακράτηση φόρου και στα ποσά που καταβάλλονται σε αλλοδαπά αθλητικά σωματεία, επαγγελματικά ή μη, καθώς και σε οποιοδήποτε τρίτο αλλοδαπό φυσικό ή νομικό πρόσωπο, για τη μεταβίβαση σε ημεδαπά αθλητικά σωματεία, ανεξάρτητα από τη νομική μορφή τους, του δικαιώματος χρησιμοποίησης αλλοδαπών ποδοσφαιριστών, καλαθοσφαιριστών, πετοσφαιριστών, υδατοσφαιριστών και λοιπών αθλητών.
Ο φόρος αυτός υπολογίζεται στο ακαθάριστο ποσό της αποζημίωσης ή του δικαιώματος ή της αμοιβής, ανεξάρτητα αν για την καταβολή αυτή απαιτείται ή όχι απόφαση του Υπουργού Εθνικής Οικονομίας, σύμφωνα με την παράγραφο 4 του άρθρου 7 του νόμου [Ν] 4171/1961 (ΦΕΚ 93/Α/1961), όπως ισχύει, με συντελεστή:
α)α)είκοσι πέντε τοις εκατό (25%) για αποζημιώσεις ή δικαιώματα που καταβάλλονται σε αλλοδαπές επιχειρήσεις ή φυσικά πρόσωπα για τη χρήση ή παραχώρηση χρήσης στην Ελλάδα κινηματογραφικών ή τηλεοπτικών ταινιών, μαγνητοταινιών για ραδιοφωνικές εκπομπές και για την αναπαραγωγή βιντεοκασετών.
β)β) Είκοσι πέντε τοις εκατό (25%) για αποζημιώσεις ή δικαιώματα ή αμοιβές των λοιπών περιπτώσεων της παραγράφου αυτής.
Με την παρακράτηση του φόρου που ενεργείται σύμφωνα με τα πιο πάνω,εξαντλείται η φορολογική υποχρέωση του αλλοδαπού δικαιούχου από το φόρο εισοδήματος για τα εισοδήματά του αυτά.
Σε όλες τις περιπτώσεις, στον αλλοδαπό δικαιούχο καταβάλλεται η διαφορά μεταξύ του ποσού της αποζημίωσης, δικαιώματος ή αμοιβής, που δικαιούται να λάβει και του παρακρατούμενου φόρου που αναλογεί στο ποσό αυτής.
Η παρακράτηση του φόρου που οφείλεται ενεργείται κατά την πίστωση ή την καταβολή της αποζημίωσης ή του δικαιώματος ή της αμοιβής στο δικαιούχο και η απόδοσή του γίνεται με σχετική δήλωση στην αρμόδια δημόσια οικονομική υπηρεσία μέσα στο πρώτο δεκαπενθήμερο του επόμενου από την παρακράτηση μήνα.
Οι τράπεζες υποχρεούνται να αρνηθούν την παροχή του ποσού συναλλάγματος ή ευρώ,που αναλογεί για την αποστολή στο εξωτερικό των αποζημιώσεων, δικαιωμάτων και αμοιβών που αναφέρονται στην παρούσα παράγραφο, αν δεν προσκομισθεί σε αυτές αποδεικτικό καταβολής στο Δημόσιο του φόρου που αναλογεί στα εισοδήματα αυτά.
ΣΗΜΕΙΩΣΗ: Η παράγραφος 6 τίθεται όπως τροποποιήθηκε με την παράγραφο 9 του άρθρου 5 του νόμου [Ν] 2753/1999 (ΦΕΚ 249/Α/1999), με την παράγραφο 4 του άρθρου 4 του νόμου 3842/2010 (ΦΕΚ 58/Α/2010) και με την παράγραφο 7 του άρθρου 3 του νόμου 3091/2002 (ΦΕΚ 330/Α/2002).
|
7. Στα δικαιώματα που αναφέρονται στην παράγραφο αυτή και τα οποία καταβάλλει ημεδαπή ανώνυμη εταιρεία ή μόνιμη εγκατάσταση στην Ελλάδα εταιρείας κράτους μέλους της Ευρωπαϊκής Ένωσης, σε συνδεδεμένη εταιρεία άλλου κράτους μέλους ή σε μόνιμη εγκατάσταση συνδεδεμένης εταιρείας κράτους μέλους ευρισκόμενη σε άλλο κράτος μέλος, δεν ενεργείται παρακράτηση φόρου εισοδήματος. Ως δικαιώματα νοούνται οι πληρωμές πάσης φύσεως που λαμβάνονται σε αντάλλαγμα της χρήσης ή του δικαιώματος χρήσης δικαιωμάτων πνευματικής ιδιοκτησίας επί λογοτεχνικού, καλλιτεχνικού ή επιστημονικού έργου, συμπεριλαμβανομένων των κινηματογραφικών ταινιών και λογισμικού, διπλωμάτων ευρεσιτεχνίας, εμπορικών σημάτων, σχεδίων ή υποδειγμάτων, σχεδιαγραμμάτων, απόρρητων χημικών τύπων ή μεθόδων κατεργασίας ή σε αντάλλαγμα πληροφοριών που αφορούν βιομηχανική, εμπορική ή επιστημονική πείρα, καθώς και οι πληρωμές για τη χρήση ή για το δικαίωμα χρήσης βιομηχανικού, εμπορικού ή επιστημονικού εξοπλισμού. Για την εφαρμογή των αναφερόμενων στην παράγραφο αυτή διατάξεων, μία εταιρεία θεωρείται συνδεδεμένη με άλλη εταιρεία εφόσον, τουλάχιστον η πρώτη εταιρεία κατέχει άμεσα ελάχιστη συμμετοχή είκοσι πέντε τοις εκατό (25%) στο μετοχικό κεφάλαιο της δεύτερης εταιρείας ή η δεύτερη εταιρεία κατέχει άμεσα ελάχιστη συμμετοχή με το ίδιο πιο πάνω ποσοστό στο μετοχικό κεφάλαιο της πρώτης εταιρείας ή μία τρίτη εταιρεία κατέχει άμεσα ελάχιστη συμμετοχή με το ίδιο πιο πάνω ποσοστό στο μετοχικό κεφάλαιο τόσο της πρώτης όσο και της δεύτερης εταιρείας και υπό τον όρο ότι σε όλες τις αναφερόμενες πιο πάνω περιπτώσεις, η συμμετοχή κατέχεται χωρίς διακοπή για δύο έτη. Η απαλλαγή από την παρακράτηση παρέχεται με την προϋπόθεση ότι ο δικαιούχος των δικαιωμάτων δέχεται τις πληρωμές για δικό του λογαριασμό και όχι με την ιδιότητα του αντιπροσώπου και εφόσον προσκομίσει σχετική βεβαίωση που ισχύει για δύο έτη από την ημερομηνία χορήγησής της. Η βεβαίωση πρέπει να περιλαμβάνει τα ακόλουθα στοιχεία του δικαιούχου:
α) ότι έχει την έδρα της πραγματικής διοίκησής του σε ένα συγκεκριμένο κράτος μέλος της Ευρωπαϊκής Ένωσης,
β) ότι υπόκειται στο πιο πάνω κράτος μέλος που έχει την έδρα του σε φόρο εισοδήματος χωρίς να τυγχάνει απαλλαγής από αυτόν,
γ) ότι κατέχει την πιο πάνω αναφερόμενη συμμετοχή χωρίς διακοπή τουλάχιστον για δύο έτη,
δ) ότι το εισόδημα από τα δικαιώματα που αποκτά, σε περίπτωση που αυτός είναι μόνιμη εγκατάσταση άλλης εταιρείας, υπόκειται σε φόρο εισοδήματος στο κράτος μέλος όπου έχει τη μόνιμη εγκατάσταση και ότι η εταιρεία της οποίας αποτελεί μόνιμη εγκατάσταση πληροί τις προϋποθέσεις που αναφέρονται στα στοιχεία α', β', γ' και ε' του παρόντος άρθρου,
ε) ότι έχει μία από τις μορφές που ορίζονται με απόφαση του Υπουργού Οικονομίας και Οικονομικών σύμφωνα με το παράρτημα της οδηγίας 2003/49/ΕΚ (L/157/2003). Με την ίδια απόφαση θα καθοριστούν ο τρόπος και τα απαιτούμενα δικαιολογητικά για την εφαρμογή των αναφερόμενων στο άρθρο αυτό.
Εξαιρετικά, κατά τη διάρκεια μεταβατικής περιόδου οκτώ ετών που αρχίζει από την 01-07-2005, κατά την καταβολή των αναφερόμενων πιο πάνω δικαιωμάτων, θα ενεργείται παρακράτηση φόρου εισοδήματος με συντελεστή δέκα τοις εκατό (10%) κατά τα πρώτα τέσσερα έτη και πέντε τοις εκατό (5%) κατά τα τελευταία τέσσερα έτη, εκτός εάν από την οικεία διμερή σύμβαση για την αποφυγή διπλής φορολογίας εισοδήματος προβλέπεται ευνοϊκότερη φορολογική μεταχείριση. Για την παρακράτηση και την απόδοση του φόρου αυτού έχουν εφαρμογή τα οριζόμενα από τις διατάξεις της προηγούμενης παραγράφου. Με την παρακράτηση αυτή εξαντλείται η φορολογική υποχρέωση του αλλοδαπού δικαιούχου. Μέχρι την έναρξη της μεταβατικής περιόδου που αναφέρεται πιο πάνω, κατά την καταβολή των υπόψη δικαιωμάτων, θα ενεργείται παρακράτηση φόρου εισοδήματος σύμφωνα με τις ισχύουσες διατάξεις των διμερών συμβάσεων αποφυγής διπλής φορολογίας ή της εσωτερικής νομοθεσίας, κατά περίπτωση.
8. Στις αλλοδαπές επιχειρήσεις και οργανισμούς που αναλαμβάνουν στην Ελλάδα κατάρτιση μελετών και σχεδίων ή τη διεξαγωγή ερευνών τεχνικής,οικονομικής ή επιστημονικής γενικά φύσεως, ανεξάρτητα αν αυτές εκπονούνται στην Ελλάδα ή στην αλλοδαπή ή την επίβλεψη και συντονισμό εκτέλεσης τεχνικών έργων που πραγματοποιούνται από τρίτους στην Ελλάδα ή την παροχή επιστημονικής φύσεως συμβουλών προς τον κύριο του εκτελούμενου στην Ελλάδα τεχνικού έργου, επιβάλλεται, για τα καθαρά κέρδη που αποκτούν από τις υπηρεσίες αυτές, φόρος εισοδήματος με συντελεστή σε είκοσι πέντε τοις εκατό (25%), ο οποίος υπολογίζεται στη συνολική ακαθάριστη αμοιβή τους.
Ομοίως, ενεργείται παρακράτηση φόρου και στα ποσά που καταβάλλονται σε αλλοδαπά αθλητικά σωματεία, επαγγελματικά ή μη, καθώς και σε οποιοδήποτε τρίτο αλλοδαπό φυσικό ή νομικό πρόσωπο, για τη μεταβίβαση σε ημεδαπά αθλητικά σωματεία, ανεξάρτητα από τη νομική μορφή τους, του δικαιώματος χρησιμοποίησης αλλοδαπών ποδοσφαιριστών, καλαθοσφαιριστών,πετοσφαιριστών, υδατοσφαιριστών και λοιπών αθλητών.
Ο φόρος αυτός παρακρατείται από τον υπόχρεο για την καταβολή κατά την εκάστοτε πίστωση ή την καταβολή της αμοιβής στο δικαιούχο και αποδίδεται με σχετική δήλωση στην αρμόδια δημόσια οικονομική υπηρεσία το βραδύτερο μέσα στο πρώτο δεκαπενθήμερο του επόμενου από την παρακράτηση μήνα.
Με την παρακράτηση του φόρου που ενεργείται σύμφωνα με τα πιο πάνω, εξαντλείται η φορολογική υποχρέωση από το φόρο εισοδήματος των αλλοδαπών επιχειρήσεων και οργανισμών για τα κέρδη που αποκτούν από τις υπηρεσίες αυτές.
Οι τράπεζες υποχρεούνται να αρνηθούν την παροχή του ποσού συναλλάγματος ή ευρώ που αναλογεί για την αποστολή στο εξωτερικό εισοδημάτων,που αναφέρονται στην παρούσα παράγραφο, αν δεν προσκομισθεί σε αυτές αποδεικτικό καταβολής στο Δημόσιο του φόρου που αναλογεί στα εισοδήματα αυτά.
9. Στις αλλοδαπές εταιρίες και οργανισμούς που αναλαμβάνουν την εργοληπτική κατασκευή δημόσιων ή ιδιωτικών τεχνικών έργων στην Ελλάδα, επιβάλλεται φόρος εισοδήματος για τα καθαρά κέρδη που αποκτούν από τις εργασίες αυτές, ο οποίος υπολογίζεται με συντελεστή που ορίζεται:
α) Τέσσερα τοις εκατό (4%) στη συνολική ακαθάριστη αξία των έργων του Δημοσίου, δήμων και κοινοτήτων, δημόσιων επιχειρήσεων ή εκμεταλλεύσεων, οργανισμών ή επιχειρήσεων κοινής ωφελείας και νομικών προσώπων δημοσίου δικαίου γενικά, ανεξάρτητα αν τα έργα εκτελούνται με υλικά του εργολήπτη ή όχι.
β) Τέσσερα και ογδόντα τοις εκατό (4,80%) στη συνολική ακαθάριστη αξία των ιδιωτικών έργων, γενικά.
γ) Δέκα τοις εκατό (10%) στη συνολική ακαθάριστη αξία των έργων χωρίς την αξία των υλικών για έργα που αναφέρονται στην πιο πάνω περίπτωση β', για τα οποία ο εργολήπτης δεν χρησιμοποιεί δικά του υλικά. Ο παραπάνω τρόπος φορολογίας εφαρμόζεται στις αλλοδαπές εργοληπτικές εταιρίες και οργανισμούς, που συμβάλλονται απευθείας με το Δημόσιο και τα λοιπά πρόσωπα που αναφέρονται στην παρούσα παράγραφο.
Ο φόρος που επιβάλλεται στις πιο πάνω περιπτώσεις παρακρατείται από τον, υπόχρεο για την καταβολή, εργοδότη κατά την εκάστοτε πίστωση ή την καταβολή της αξίας του έργου στο δικαιούχο και αποδίδεται με σχετική δήλωση στην αρμόδια δημόσια οικονομική υπηρεσία μέσα στο πρώτο δεκαπενθήμερο του επόμενου από την παρακράτηση μήνα.
Με την παρακράτηση του φόρου αυτού εξαντλείται η φορολογική υποχρέωση από το φόρο εισοδήματος των αλλοδαπών εταιριών και οργανισμών για τα κέρδη που αποκτούν από τις εργασίες αυτές.
Οι διατάξεις της παρούσας παραγράφου εφαρμόζονται ανάλογα και στις αλλοδαπές εταιρίες και οργανισμούς που ασχολούνται με την εκτέλεση μηχανολογικών και ηλεκτρολογικών εγκαταστάσεων, επιφυλασσομένων των διατάξεων του άρθρου 12 του νόμου [Ν] 542/1977 (ΦΕΚ 41/Α/1977).
10. Τα έσοδα από έπαθλα ή βραβεία από την κατοχή και εκμετάλλευση δρομώνων ίππων που χρησιμοποιούνται σε αγώνες ιπποδρομίου φορολογούνται αυτοτελώς με συντελεστή φόρου δέκα τοις εκατό (10%). Ο φόρος που προκύπτει παρακρατείται κατά την πληρωμή. Για την απόδοση του φόρου αυτής της παραγράφου εφαρμόζονται οι διατάξεις της παραγράφου 3 του άρθρου 60. Με την παρακράτηση αυτού του φόρου εξαντλείται η φορολογική υποχρέωση από το φόρο εισοδήματος των ιδιοκτητών δρομώνων ίππων για τα έσοδα αυτά.
ΣΗΜΕΙΩΣΗ: Η παράγραφος 10 τίθεται όπως τροποποιήθηκε με την παράγραφο 4 του άρθρου 6 του νόμου 2386/1996 (ΦΕΚ 43/Α/1996) και με την παράγραφο 6 του νόμου [Ν] 2610/2007 (ΦΕΚ 258/Α/2007).
|
11. Οι πάσης φύσεως παροχές που χορηγούνται στα πρόσωπα που εκλέγονται για τον πρώτο και δεύτερο βαθμό της τοπικής αυτοδιοίκησης φορολογούνται αυτοτελώς με συντελεστή φόρου είκοσι τοις εκατό (20%). Ο φόρος που προκύπτει παρακρατείται κατά την πληρωμή. Για την απόδοση του φόρου αυτού εφαρμόζονται οι διατάξεις της παραγράφου 3 του άρθρου 60. Με την παρακράτηση αυτού του φόρου εξαντλείται η φορολογική υποχρέωση από το φόρο εισοδήματος των δικαιούχων για τις ως άνω παροχές.
12.Οι αμοιβές που καταβάλλονται από το Ελληνικό Δημόσιο, τους δήμους και τις κοινότητες του Κράτους, τον Ελληνικό Οργανισμό Τουρισμού,το Ευρωπαϊκό Πολιτιστικό Κέντρο Δελφών, τον Οργανισμό Μεγάρου Μουσικής Αθηνών, τον Οργανισμό Πολιτιστικής Πρωτεύουσας της Ευρώπης - Θεσσαλονίκη 1997, το Σύλλογο Οι Φίλοι της Μουσικής, καθώς και την Εθνική Λυρική Σκηνή σε ξένα καλλιτεχνικά συγκροτήματα ή μεμονωμένους καλλιτέχνες ξένων χωρών, για τη συμμετοχή τους σε καλλιτεχνικές εκδηλώσεις στην Ελλάδα, φορολογούνται αυτοτελώς με συντελεστή φόρου είκοσι πέντε τοις εκατό (25%).
Ο φόρος που προκύπτει παρακρατείται κατά την πληρωμή. Για την απόδοση του φόρου αυτού εφαρμόζονται οι διατάξεις της παραγράφου 3 του άρθρου 60. Με την παρακράτηση αυτού του φόρου εξαντλείται η φορολογική υποχρέωση από το φόρο εισοδήματος των δικαιούχων για τις ως άνω αμοιβές.
13. Τα χρηματικά ποσά που καταβάλλονται σε αθλητές εθνικών ομάδων, ως επιβράβευση αυτών από το Δημόσιο, λόγω επίτευξης διεθνών στόχων ατομικώς ή ομαδικώς, καθώς και τα χρηματικά ποσά των πάσης φύσεως χορηγιών που καταβάλλονται στους ανωτέρω αθλητές, φορολογούνται αυτοτελώς με συντελεστή φόρου είκοσι τοις εκατό (20%).
Ο φόρος που προκύπτει παρακρατείται κατά την πληρωμή. Για την απόδοση του φόρου αυτού εφαρμόζονται οι διατάξεις της παραγράφου 3 του άρθρου 60. Με την παρακράτηση αυτού του φόρου εξαντλείται η φορολογική υποχρέωση από το φόρο εισοδήματος των δικαιούχων για τα ποσά αυτά.
Τα χρηματικά ποσά που καταβλήθηκαν από το Δημόσιο στους αθλητές των εθνικών ομάδων, ως επιβράβευση για τις διακρίσεις τους στους Ολυμπιακούς Αγώνες και την Παραολυμπιάδα της Ατλάντα το 1996, και από τα οποία παρακρατήθηκε φόρος δεκαπέντε τοις εκατό (15%) θεωρούνται ότι φορολογήθηκαν αυτοτελώς και εξαντλήθηκε η φορολογική υποχρέωση των δικαιούχων αθλητών από το φόρο εισοδήματος. Σε περίπτωση που τα ποσά αυτά έχουν δηλωθεί με την ετήσια δήλωση φορολογίας εισοδήματος του οικείου οικονομικού έτους από τους δικαιούχους,τα ποσά του φόρου που βεβαιώθηκαν ή καταβλήθηκαν από τους δικαιούχους των χρηματικών ποσών συμψηφίζονται με το φόρο αυτής της παραγράφου και ο φόρος που τυχόν βεβαιώθηκε ή καταβλήθηκε επιπλέον, διαγράφεται ή επιστρέφεται κατά περίπτωση.
14. Τα χρηματικά ποσά που παρέχονται σε όσους συμμετέχουν σε ραδιοφωνικούς, τηλεοπτικούς και λοιπούς παρεμφερείς διαγωνισμούς που διενεργούνται με οποιαδήποτε μορφή φορολογούνται αυτοτελώς με συντελεστή είκοσι τοις εκατό (20%), εφόσον το καταβαλλόμενο ποσό υπερβαίνει το ποσό των χιλίων πεντακοσίων (1.500) ευρώ. Ο φόρος που προκύπτει παρακρατείται από τον καταβάλλοντα κατά το χρόνο της καταβολής του ποσού στο δικαιούχο. Για την απόδοση του φόρου αυτού εφαρμόζονται ανάλογα οι διατάξεις της παραγράφου 3 του άρθρου 60. Με την παρακράτηση αυτού του φόρου εξαντλείται η φορολογική υποχρέωση από το φόρο εισοδήματος των δικαιούχων για τα ποσά αυτά.
ΣΗΜΕΙΩΣΗ: Η παράγραφος 14 τίθεται όπως τροποποιήθηκε με την παράγραφο 4 του άρθρου 6 του νόμου [Ν] 2759/1998 (ΦΕΚ 31/Α/1998) και με την παράγραφο 24 του άρθρου 9 του νόμου 2948/2001 (ΦΕΚ 242/Α/2001).
|
ΣΗΜΕΙΩΣΗ: Οι παράγραφοι 2 - 12 αναριθμήθηκαν σε 3 - 13 αντίστοιχα με την παράγραφο 5 του άρθρου 3 του νόμου [Ν] 2753/1999 (ΦΕΚ 249/Α/1999) και στη συνέχεια οι παράγραφοι 7 - 13 αναριθμήθηκαν σε 7 - 14 με το άρθρο 15 του νόμου 3312/2005 (ΦΕΚ 35/Α/2005).
|