Προεδρικό διάταγμα 27/9/85 - Άρθρο 1

Άρθρο 1: Τεχνικός Κανονισμός για τον τρόπο κατανομής δαπανών κεντρικής θέρμανσης σε κτίρια που περιλαμβάνουν περισσότερες της μίας ιδιοκτησίες


Συνδεθείτε στην Υπηρεσία Νομοσκόπιο
Είσοδος στην υπηρεσία Νομοσκόπιο.
   
Χρήστης
Κωδικός
  Υπενθύμιση στοιχείων λογαριασμού
   
 
Νέοι χρήστες
Εάν είστε νέος χρήστης, θα πρέπει να δημιουργήσετε ένα ΔΩΡΕΑΝ λογαριασμό προκειμένου να φύγει το παράθυρο αυτό και να αποκτήσετε πλήρη πρόσβαση στην υπηρεσία Νομοσκόπιο.
Δημιουργία νέου λογαριασμού

 

 

1. Γενικά

 

1.1. Ο κανονισμός αυτός αφορά στον τρόπο κατανομής ανά ιδιοκτησία των δαπανών κεντρικής θέρμανσης κτιρίων που περιλαμβάνουν περισσότερες της μιας οριζόντιες ιδιοκτησίες.

 

1.2. Η Κεντρικής θέρμανση των κτιρίων της προηγουμένης περίπτωσης (1.1) είναι κοινόχρηστο αγαθό και ο τρόπος κατανομής των δαπανών της στις επί μέρους ιδιοκτησίες γίνεται ως εξής:

 

2. Υπολογισμός των στοιχείων των θερμικών απωλειών

 

2.1. Στοιχεία του κτιρίου

 

2.1.1. Ολικές βασικές απώλειες του κτιρίου

 

Eqn625

 

όπου,

 

QΟΛ (kcal/h): οι ολικές θερμικές απώλειες του κτιρίου, όπως προκύπτουν από την μελέτη θέρμανσης του κτιρίου (1)

i (-): δείκτης της κάθε ιδιοκτησίας που από τη μελέτη προβλέπεται ότι θερμαίνεται.

QF,i (kcal/h): οι θερμικές απώλειες δια μέσου των εξωτερικών ανοιγμάτων (πόρτες, παράθυρα κ.α.) της ιδιοκτησίας i όπως προκύπτουν από τη μελέτη θέρμανσης του κτιρίου (1).

QA,i (kcal/h): οι θερμικές απώλειες χαραμάδων των εξωτερικών ανοιγμάτων της ιδιοκτησίας i όπως προκύπτουν από τη μελέτη θέρμανσης του κτιρίου.

 

(1) Συμπεριλαμβάνονται οι προσαυξήσεις λόγω προσανατολισμού διακοπών κ.λ.π.

 

2.1.2. Ειδικές βασικές απώλειες του κτιρίου.

 

Eqn626

 

όπου Vi (m3) ο όγκος της ιδιοκτησίας i όπως προκύπτει από τις διαστάσεις που χρησιμοποιήθηκαν στη μελέτη της κεντρικής θέρμανσης.

 

2.2. Στοιχεία των ιδιοκτησιών

 

2.2.1. Θερμικές απώλειες Qi (kcal/h) που επιβαρύνουν την ιδιοκτησία i

 

Eqn627

 

2.2.2. Συντελεστής επιβαρύνσεων εi της ιδιοκτησίας i

 

Eqn628

 

ο εi είναι χαρακτηριστικός συντελεστής της κάθε ιδιοκτησίας που αναγράφεται στα σχέδια που συνοδεύουν τη μελέτη κατανομής δαπανών κεντρικής θέρμανσης.

 

2.2.3. Συντελεστής παραμένουσας επιβαρύνσεως fi (-) της ιδιοκτησίας i

 

Eqn629

 

όπου Q'i (kcal/h) οι θερμικές απώλειες που επιβαρύνουν την ιδιοκτησία i σε περίπτωση που παροχή θέρμανσης σε αυτήν από το δίκτυο κεντρικής θέρμανσης διακόπτεται. Ο συντελεστής fi είναι χαρακτηριστικός της κάθε ιδιοκτησίας και αναγράφεται στα σχέδια που συνοδεύουν τη μελέτη κατανομής δαπανών κεντρικής θέρμανσης. Για τον υπολογισμό του fi βλέπε παράγραφο 4.

 

3. Τρόπος κατανομής των δαπανών

 

3.1. Δαπάνες λειτουργίας

 

3.1.1. Σε κτίρια χωρίς μετρητές παροχής θερμότητας, οι δαπάνες λειτουργίας κατανέμονται με τα παραπάνω ποσοστά π (%)

 

Eqn630

 

Eqn631

 

όπου λ οι ιδιοκτησίες που θα είναι κλειστές τουλάχιστον για ένα μήνα και που η παροχή θέρμανσης διακόπτεται προσωρινά.

 

Στην περίπτωση που θερμαίνονται όλες οι ιδιοκτησίες είναι Σε,λ = 0 οπότε

 

Eqn632

 

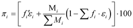
3.1.2. Σε κτίρια με μετρητές της παροχής θερμότητας σε κάθε μία ιδιοκτησία οι δαπάνες λειτουργίας κατανέμονται με τα παρακάτω ποσοστά π (%):

 

Eqn633

 

όπου Μi η διαφορά ενδείξεων του μετρητή της ιδιοκτησίας i ανάμεσα στην τελευταία και την προηγουμένη καταγραφή. Η παραπάνω σχέση καλύπτει και την περίπτωση που θα συμβεί προσωρινή διακοπή στη θέρμανση μιας ή περισσοτέρων ιδιοκτησιών λ από το δίκτυο της κεντρικής θέρμανσης. Στην περίπτωση αυτή, θα είναι Μλ = 0, οπότε η παραπάνω σχέση γίνεται για τις ιδιοκτησίες λ:

 

Eqn634

 

3.2. Έκτακτες δαπάνες

 

Η κατανομή των έκτακτων δαπανών γίνεται με τα παρακάτω ποσοστά π (%):

 

Eqn635

 

που ισχύουν και στην περίπτωση των κτιρίων με μετρητές θερμότητας και στην περίπτωση κτιρίων χωρίς τέτοιους μετρητές, καθώς και για τις ιδιοκτησίες λ που η παροχή θέρμανσης από το δίκτυο κεντρικής θέρμανσης διακόπτεται προσωρινά.

 

3.3. Κατανομή δαπανών σε ειδικές περιπτώσεις.

 

3.3.1. Ιδιοκτησίες στις οποίες παρέχεται από τον κανονισμό των σχέσεων των συνιδιοκτητών της οικοδομής, η δυνατότητα να αποσυνδεθούν μόνιμα από το δίκτυο κεντρικής θέρμανσης του κτιρίου και που διαθέτουν ανεξάρτητη μόνιμη εγκατάσταση δεν επιβαρύνονται ούτε με δαπάνες λειτουργίας ούτε με έκτακτες δαπάνες κεντρικής θέρμανσης.

 

Ανεξαρτήτως σχετικής προβλέψεως στον κανονισμό σχέσεων των συνιδιοκτητών του κτιρίου, οι διατάξεις της ανωτέρω παραγράφου ισχύουν και σε ιδιοκτησίες οι οποίες αποσυνδέονται μόνιμα από το δίκτυο κεντρικής θέρμανσης του κτιρίου σύμφωνα με τα οριζόμενα στην παράγραφο 5 του άρθρου 2 του προεδρικού διατάγματος 420/1987 και διαθέτουν ανεξάρτητη μόνιμη εγκατάσταση θέρμανσης με χρήση αερίων καυσίμων.

 

Οι συντελεστές εi των υπόλοιπων ιδιοκτησιών θα αναμορφώνονται σε:

 

Eqn636

 

όπου α οι ιδιοκτησίες που θα αποσυνδεθούν μόνιμα και θερμαίνονται με ανεξάρτητη εγκατάσταση θέρμανσης. Τα ποσοστά κατανομής π των έκτακτων δαπανών και των δαπανών λειτουργίας στις ιδιοκτησίες i που θα παραμείνουν σε σύνδεση με το δίκτυο της κεντρικής θέρμανσης υπολογίζονται πάντοτε με τις σχέσεις των παραγράφων 3.1.1., 3.1.2. και 3.2. αλλά με τους αναμορφωμένους συντελεστές ε'i στη θέση των εi. Οι ιδιοκτήτες των ιδιοκτησιών που θα αποσυνδεθούν με τον παραπάνω τρόπο από το δίκτυο της κεντρικής θέρμανσης είναι υποχρεωμένοι να μονώσουν τους σωλήνες της κεντρικής θέρμανσης που διέρχονται από την ιδιοκτησία τους. Οι δαπάνες μόνωσης των παραπάνω σωλήνων, καθώς και οι έκτακτες δαπάνες της ιδιοκτησίας θα βαρύνουν τον ιδιοκτήτη της.

 

Οι υπόλοιπες έκτακτες δαπάνες που ενδέχεται να προκύψουν επειδή αποσυνδέθηκε μόνιμα μία ή περισσότερες ιδιοκτησίες κατανέμονται σε όλες τις ιδιοκτησίες, ανάλογα με τα ποσοστά πi που ίσχυαν πριν από την αποσύνδεση.

 

3.3.2. Ιδιοκτησίες, που η θέρμανσή τους δεν προβλέπεται από τη μελέτη, δεν επιβαρύνονται με δαπάνες κεντρικής θέρμανσης.

 

ΣΗΜΕΙΩΣΗ: Η παράγραφος 3 τίθεται όπως τροποποιήθηκε με την παράγραφο 11 του άρθρου 30 του νόμου 3175/2003 (ΦΕΚ 207/Α/2003), με την παράγραφο 4 του άρθρου 127 του νόμου 4495/2017 (ΦΕΚ 167/Α/2017).

 

4. Καθορισμός του συντελεστή fi

 

Ο συντελεστής fi υπολογίζεται από τη σχέση.

 

Eqn637

 

Οι τιμές των συντελεστών ω, x, y και z δίνονται παρακάτω.

 

4.1. Τιμές του ω

 

4.1.1. Κτίρια με θερμομόνωση σύμφωνη με το σχετικό κανονισμό και για

 

ιδιοκτησίες στο ισόγειο ή ημιυπόγειο: ω = 0,60
ιδιοκτησίες σε ενδιάμεσο όροφο: ω = 0,65
τις υπόλοιπες ιδιοκτησίες δηλαδή εκείνες που το 50% τουλάχιστον της οροφής ή του δαπέδου τους αποτελεί εξωτερική επιφάνεια: ω = 0,55

 

4.1.2. Κτίρια χωρίς θερμομόνωση σύμφωνη με το σχετικό κανονισμό και για

 

ιδιοκτησίες στο ισόγειο ή ημιυπόγειο: ω = 0,50
ιδιοκτησίες σε ενδιάμεσο όροφο: ω = 0,55
τις υπόλοιπες ιδιοκτησίες όπως χαρακτηρίζονται στην παράγραφο 4.1.1: ω = 45

 

4.2. Τιμές του x

 

Για ιδιοκτησίες μέσα από τις οποίες:

 

Διέρχονται σωληνώσεις του δικτύου διανομής για περισσότερα από τα 2/3 των θερμαντικών σωμάτων: x = 0
Δεν διέρχονται σωληνώσεις του δικτύου διανομής ή διέρχονται για λιγότερα από το 1/3 των θερμαντικών σωμάτων: x = 0,06
Για τις υπόλοιπες περιπτώσεις διέλευσης σωλήνων του δικτύου: x = 0,03

 

4.3. Τιμές του y

 

Για ιδιοκτησία εμβαδού F που είναι:

 

F ≥ 110 m2: y = 0

75 m2 ≤ F < 110 m2: y = 0,04

40 m2 ≤ F < 75 m2: y = 0,08

F < 40 m2: y = 0,12

 

4.4. Τιμές του z

 

Αν Eqn638 και όπου:

 

FΕΞ,i: η εξωτερική παράπλευρη επιφάνεια της ιδιοκτησίας i, χωρίς την οροφή και το δάπεδο.

FΠΑΡ,i: η συνολική παράπλευρη επιφάνεια της ιδιοκτησίας i, χωρίς την οροφή και το δάπεδο για ιδιοκτησία με σF:

 

σF ≤ 0,20: z = 0

0,20 <σF ≤ 0,35: z = 0,05

0,35 < σF ≤ 0,50: z = 0,10

0,50 < σF ≤ 0,65: z = 0,15

σF > 0,65: z = 0,20

 

Κατά τον υπολογισμό της εξωτερικής παράπλευρης επιφάνειας συνυπολογίζεται και η επιφάνεια που συνορεύει με χώρους που δε θερμαίνονται (κοινόχρηστοι χώροι, αποθήκες, φρεάτια ανελκυστήρων κ.α.), αφού πολλαπλασιαστεί με το συντελεστή 0,5.

 



Copyright © 2020 TechnoLogismiki. Με την επιφύλαξη παντός δικαιώματος.