-1) {
var s = source.indexOf("", e);
scripts.push(source.substring(s_e+1, e));
source = source.substring(0, s) + source.substring(e_e+1);
}
for(var i=0; i |
";
if(window.XMLHttpRequest){
try{xmlhttp = new XMLHttpRequest();}catch(e){
xmlhttp = false;}}
else if(window.ActiveXObject){
try{xmlhttp=new ActiveXObject("Msxml2.XMLHTTP");}catch(e){
try{xmlhttp=new ActiveXObject("Microsoft.XMLHTTP");}catch(e){
xmlhttp = false;}}}
if (xmlhttp) {
xmlhttp.onreadystatechange=function(){
if(xmlhttp.readyState==4){
if(xmlhttp.status==200){
var mystr=xmlhttp.responseText;
var mspanner=document.getElementById(target);
mspanner.innerHTML="";
var newdiv = document.createElement('div');
newdiv.innerHTML = parseScript(mystr);
mspanner.appendChild(newdiv);
}}}
}
var myurl=url;
if (params.length!=0) {
myurl=myurl+"?"+params;
}
xmlhttp.open("POST",myurl,true);
xmlhttp.send(null);
}
| Συνδεθείτε στην Υπηρεσία Νομοσκόπιο | | | | | Νέοι χρήστες | | Εάν είστε νέος χρήστης, θα πρέπει να δημιουργήσετε ένα ΔΩΡΕΑΝ λογαριασμό προκειμένου να φύγει το παράθυρο αυτό και να αποκτήσετε πλήρη πρόσβαση στην υπηρεσία Νομοσκόπιο. | | Δημιουργία νέου λογαριασμού | | |
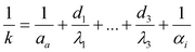
Εις τα παραδείγματα που ακολουθούν τα πάχη της στεγάνωσης και του φράγματος υδρατμών, επειδή είναι ελάχιστα, δεν ελήφθησαν υπ' όψιν εις τους υπολογισμούς.
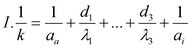
1. Οροφή ωπλισμένου σκυροδέματος - Μόνωσις υπεράνω της εκ σκυροδέματος πλάκας

Στρώσεις του στοιχείου
|
d (m)
|
λ (kcal/m h °C)
|
1. πλάκες εκ μαρμάρου
|
0,03
|
3,00
|
2. ασβεστοτσιμεντοκονίαμα
|
0,02
|
0,75
|
3. κισσηρόδεμα 1000 kg/m3
|
0,20
|
0,30
|
4. μονωτικό υλικό
|
0,06
|
0,035
|
5. πλάκα ωπλισμένου σκυροδέματος
|
0,16
|
1,75
|
6. ασβεστοκονίαμα
|
0,02
|
0,75
|


k = 0,366 < 0,4
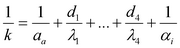
2. Οροφή ωπλισμένου σκυροδέματος - Μόνωσις κάτωθεν της εκ σκυροδέματος πλάκας

Στρώσεις του στοιχείου
|
d (m)
|
λ (kcal/m h °C)
|
1. ασφαλτική επίστρωσις
|
0,002
|
0,15
|
2. πλάκα ωπλισμένου σκυροδέματος
|
0,15
|
1,75
|
3. μονωτικό υλικό
|
0,075
|
0,035
|
4. μοριοσανίδες
|
0,02
|
0,15
|


k = 0,389 < 0,4
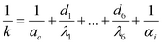
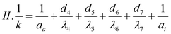
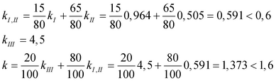
3. Οροφή ωπλισμένου σκυροδέματος - Πλάκα τύπου Zollner

Στρώσεις του στοιχείου
|
I d (m)
|
II d (m)
|
λ (kcal/m h °C)
|
1. μαλτεζόπλακες
|
0,03
|
0,03
|
0,90
|
2. ασβεστοτσιμεντοκονίαμα
|
0,025
|
0,025
|
0,75
|
3. κισσηρόδεμα 1000 kg/m3
|
0,15
|
0,15
|
0,30
|
4. πλάκα ωπλισμένου σκυροδέματος
|
0,25
|
0,08
|
1,75
|
5. διογκωμένο συνθετικό υλικό
|
-
|
0,17
|
0,035
|
6. πλάκες π.χ. εκ φυτικών ινών
|
0,03
|
0,03
|
0,08
|
7. ασβεστοκονίαμα
|
0,02
|
0,02
|
0,75
|




4. Δάπεδο υπεράνω Pilotis με ορατό σκυρόδεμα

Στρώσεις του στοιχείου
|
d (m)
|
λ (kcal/m h °C)
|
1. ξύλινο δάπεδον δρύινο
|
0,015
|
0,18
|
2. ξύλινο υπόστρωμα ελάτης
|
0,02
|
0,12
|
3. μονωτικό υλικό
|
0,07
|
0,035
|
4. πλάκα ωπλισμένου σκυροδέματος
|
0,18
|
1,75
|


5. Δάπεδον ξύλινο, κολλητό, υπεράνω κλειστού υπογείου χώρου - Ζώνη Α

Στρώσεις του στοιχείου
|
d (m)
|
λ (kcal/m h °C)
|
1. ξύλινο δάπεδον κολλητό
|
0,01
|
0,18
|
2. Γαρμπιλοσκυρόδεμα 1900 kg/m3
|
0,03
|
0,95
|
3. πλάκα ωπλισμένου σκυροδέματος
|
0,16
|
1,75
|


6. Δάπεδον ξύλινο υπεράνω κλειστού υπογείου χώρου - Ζώνη Β

Στρώσεις του στοιχείου
|
d (m)
|
λ (kcal/m h °C)
|
1. ξύλινο δάπεδον δρύινο
|
0,015
|
0,18
|
2. ξύλινο υπόστρωμα ελάτης
|
0,02
|
0,12
|
3. διάκενο αέρος ≥ 5 cm (d/λ=0,24)
|
διάκενο αέρος
|
4. πλάκα ωπλισμένου σκυροδέματος
|
0,16
|
1,75
|


7. Δάπεδον ξύλινο υπεράνω κλειστού υπογείου χώρου - Ζώνη Γ

Στρώσεις του στοιχείου
|
d (m)
|
λ (kcal/m h °C)
|
1. ξύλινο δάπεδον δρύινο
|
0,015
|
0,18
|
2. ξύλινο υπόστρωμα ελάτης
|
0,02
|
0,12
|
3. μονωτικό υλικό
|
0,05
|
0,035
|
4. πλάκα ωπλισμένου σκυροδέματος
|
0,16
|
1,75
|


8. Δάπεδον επί φυσικού εδάφους - Ζώνη Α

Στρώσεις του στοιχείου
|
d (m)
|
λ (kcal/m h °C)
|
1. πλάκες εκ μαρμάρου
|
0,025
|
3,00
|
2. ασβεστοτσιμεντοκονίαμα
|
0,025
|
0,75
|
3. Γαρμπιλοσκυρόδεμα 1700 kg/m3
|
0,10
|
0,70
|
φυσικό έδαφος
|
|
|


9. Δάπεδον επί φυσικού εδάφους - Ζώνη Β

Στρώσεις του στοιχείου
|
d (m)
|
λ (kcal/m h °C)
|
1. ξύλινο δάπεδον δρύινο
|
0,015
|
0,18
|
2. ξύλινο υπόστρωμα ελάτης
|
0,02
|
0,12
|
3. διάκενο αέρος ≥ 5 cm (d/λ = 0,24)
|
διάκενο αέρος
|
4. σκυρόδεμα Β < 120 (γκρο μπετόν)
|
0,10
|
1,30
|
φυσικό έδαφος
|
|
|


10. Δάπεδον επί φυσικού εδάφους - Ζώνη Γ

Στρώσεις του στοιχείου
|
d (m)
|
λ (kcal/m h °C)
|
1. ξύλινο δάπεδον δρύινο
|
0,015
|
0,18
|
2. ξύλινο υπόστρωμα ελάτης
|
0,02
|
0,12
|
3. μονωτικό υλικό
|
0,05
|
0,035
|
4. σκυρόδεμα Β < 120 (γκρο μπετόν)
|
0,10
|
1,30
|


11. Φέρων τοίχος εκ πλήρων οπτόπλινθων (εσωτερική μόνωσις)

Στρώσεις του στοιχείου
|
d (m)
|
λ (kcal/m h °C)
|
1. φέρων τοίχος εκ πλήρων οπτόπλινθων 1800 kg/m3
|
0,2
|
0,68
|
2. μονωτικό υλικό
|
0,05
|
0,035
|
3. πλάκες π.χ. εκ φυτικών ινών
|
0,025
|
0,08
|
4. ασβεστοκονίαμα
|
0,02
|
0,75
|


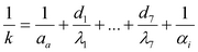
12. Τοίχος πληρώσεως επί σκελετού εξ ωπλισμένου σκυροδέματος με εξωτερικά ορατά στοιχεία (συνδυασμός στοιχείου εκ σκυροδέματος, τοιχοποιίας, παραθύρου)

Στρώσεις του στοιχείου
|
d (m)
|
λ (kcal/m h °C)
|
I. 1. οπλισμένο σκυρόδεμα
|
0,18
|
1,75
|
2. πλάκες π.χ. εκ φυτικών ινών
|
0,05
|
0,07
|
3. ασβεστοκονίαμα
|
0,02
|
0,75
|
II. 4. οπτόπλινθοι πλήρεις 1800 kg/m3
|
0,09
|
0,68
|
5. μονωτικό υλικό
|
0,05
|
0,035
|
6. οπτόπλινθοι διάτρητοι 1200 kg/m3
|
0,09
|
0,45
|
7. ασβεστοκονίαμα
|
0,02
|
0,75
|





ΣΗΜΕΙΩΣΗ: Το παρόν άρθρο καταργήθηκε με το άρθρο 18 της υπ' αριθμού οίκοθεν Δ6Β/5825/2010 υπουργικής απόφασης (ΦΕΚ 407/Δ/2010).
|