| Συνδεθείτε στην Υπηρεσία Νομοσκόπιο | | | | | Νέοι χρήστες | | Εάν είστε νέος χρήστης, θα πρέπει να δημιουργήσετε ένα ΔΩΡΕΑΝ λογαριασμό προκειμένου να φύγει το παράθυρο αυτό και να αποκτήσετε πλήρη πρόσβαση στην υπηρεσία Νομοσκόπιο. | | Δημιουργία νέου λογαριασμού | | |
1. Οι βασικές τιμές των ημερομισθίων, υλικών, μισθωμάτων και μηχανημάτων του παρόντος αναθεωρούνται ενιαία για όλη τη χώρα κατά ημερολογιακό τρίμηνο (αναθεωρητική περίοδος), με βάση τα στοιχεία και δεδομένα της εικοστής ημέρας του πρώτου μήνα της περιόδου αυτής. Σε όλη τη διάρκεια της κάθε αναθεωρητικής περιόδου, οι αναθεωρημένες τιμές παραμένουν σταθερές.
2. Οι συμβατικές τιμές κάθε σύμβασης δημόσιου έργου αναθεωρούνται ενιαία για όλη τη χώρα κατά ημερολογιακό τρίμηνο (αναθεωρητική περίοδος) και με βάση τα στοιχεία και δεδομένα της εικοστής ημέρας του πρώτου μήνα της περιόδου αυτής. Σε όλη τη διάρκεια της κάθε αναθεωρητικής περιόδου οι αναθεωρημένες συμβατικές τιμές παραμένουν σταθερές.
3. Η αναθεώρηση υπολογίζεται για τις εργασίες που πραγματικά εκτελέστηκαν μέσα στο προβλεπόμενο από το άρθρο 145 χρονοδιάγραμμα. Εργασίες που, για οποιονδήποτε λόγο, εκτελέστηκαν σε αναθεωρητική περίοδο μεταγενέστερη της προβλεπόμενης από το χρονοδιάγραμμα, θεωρούνται για τον υπολογισμό της αναθεώρησης ότι εκτελέστηκαν στην αναθεωρητική περίοδο κατά την οποία έπρεπε να εκτελεστούν. Για τις εργασίες που εκτελέστηκαν πριν από την προβλεπόμενη από το χρονοδιάγραμμα αναθεωρητική περίοδο, η αναθεώρηση υπολογίζεται με βάση το χρόνο της πραγματικής εκτέλεσής τους. Για τις εργασίες που εκτελέστηκαν μετά την πάροδο της αρχικής συμβατικής προθεσμίας, η αναθεώρηση υπολογίζεται με βάση τους συντελεστές που ίσχυαν κατά την τελευταία αναθεωρητική περίοδο του αρχικού χρονοδιαγράμματος κατασκευής του έργου, εφόσον η καθυστέρηση οφείλεται σε υπαιτιότητα του αναδόχου. Στην περίπτωση αυτή επιβάλλονται οι προβλεπόμενες από το άρθρο 148 κυρώσεις, καθώς και οι διοικητικές και οι παρεπόμενες χρηματικές κυρώσεις, που προβλέπονται κατά τις κείμενες διατάξεις.
4. Για την εφαρμογή της προηγούμενης παραγράφου κατά την έγκριση παρατάσεων της συνολικής ή των τμηματικών προθεσμιών των συμβάσεων των δημόσιων έργων εκτιμάται και προσδιορίζεται πάντοτε το υπαίτιο για την επιμήκυνση του χρόνου συμβαλλόμενο μέρος για το σύνολο ή για μέρος των έργων ή κατά κονδύλια εργασιών. Οι διατάξεις της παραγράφου αυτής δεν επηρεάζουν την κατάπτωση των ποινικών ρητρών, αν συντρέχουν οι προϋποθέσεις της.
5. Ως χρόνος εκκίνησης για τον υπολογισμό της αναθεώρησης κάθε εργολαβικής σύμβασης ορίζεται το ημερολογιακό τρίμηνο μέσα στο οποίο:
α) υποβλήθηκε η προσφορά, αν πρόκειται για σύμβαση, που καταρτίσθηκε ύστερα από δημοπρασία ή
β) εκδόθηκε η σχετική εγκριτική απόφαση, αν πρόκειται για σύμβαση που καταρτίσθηκε χωρίς δημοπρασία, και υπό τον όρο ότι η εγκριτική αυτή απόφαση δεν ορίζει άλλο χρόνο. Οι τιμές της σύμβασης παραμένουν σταθερές για τις εργασίες που εκτελούνται ή που έπρεπε να εκτελεστούν μέσα στο τρίμηνο που θεωρείται χρόνος εκκίνησης και στο αμέσως επόμενο ημερολογιακό τρίμηνο. Κατ' εξαίρεση η σταθερότητα των τιμών περιορίζεται μόνο στο ημερολογιακό τρίμηνο εκκίνησης όταν πρόκειται για έργα οποιασδήποτε κατηγορίας συνολικού εκτιμώμενου προϋπολογισμού δημοπράτησης ή ανάθεσης ύψους 1.500.000 € χωρίς φόρο προστιθέμενης αξίας,
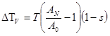
6. Η αναθεώρηση (αύξηση ή μείωση) για κάθε αναθεωρητική περίοδο υπολογίζεται με βάση τον τύπο:

όπου είναι:
Τ: η υπόψη τιμή της σύμβασης,
ΔΤV: η αναθεώρηση της παραπάνω τιμής στην υπόψη αναθεωρητική περίοδο ν,
Α0: τιμή που προκύπτει αφού συμπληρωθεί με βασικές τιμές του χρόνου εκκίνησης το οριζόμενο για την τιμή Τ άρθρο ανάλυσης τιμών ή συνδυασμός άρθρων με τα βάρη τους, όπως προσδιορίζονται από τη σύμβαση, σύμφωνα με την παράγραφο 8,
ΑV: τιμή που προκύπτει όπως παραπάνω με τις βασικές τιμές της αναθεωρητικής περιόδου ν,
s ή σ: σταθερός συντελεστής που αντιπροσωπεύει το μη αναθεωρούμενο μέρος της τιμής και που προσδιορίζεται με απόφαση του Υπουργού Υποδομών, Μεταφορών και Δικτύων μεταξύ του 0,07 και 0,20 κατά κατηγορίες ή μέγεθος έργων και ανάλογα με τον αριθμό των αναθεωρητικών περιόδων, που μεσολαβούν μεταξύ του χρόνου εκκίνησης και της συγκεκριμένης κάθε φορά αναθεωρητικής περιόδου.
7. Ο σταθερός συντελεστής σ στον τύπο της αναθεώρησης της παραγράφου 6 ορίζεται από τη σχέση:
σ=σ1 +0,01 ν,
όπου σ1 είναι συντελεστής που καθορίζεται ενιαία για ύλες τις κατηγορίες ή και χωριστά για καθεμία από τις κατηγορίες των δημόσιων έργων και ανέρχεται σε σ1=0,12 για όλες τις κατηγορίες έργων και
ν είναι ακέραιος αριθμός ίσος με τη μονάδα για την πρώτη αναθεωρητική περίοδο που υπολογίζεται αναθεώρηση για τη συγκεκριμένη σε κάθε περίπτωση εργολαβία και που αυξάνεται κατά μία μονάδα για καθεμιά από τις επόμενες αναθεωρητικές περιόδους της συγκεκριμένης εργολαβίας.
Ο ν παύει να αυξάνει όταν το α γίνει 0,20. Ο συντελεστής σ1 μπορεί να αναπροσαρμόζεται με απόφαση του Υπουργού Υποδομών, Μεταφορών και Δικτύων. Κατ' εξαίρεση, για τις συμβάσεις με χρόνο δημοπράτησης πριν το Γ' τρίμηνο του 2012, η αναθεώρηση των τιμών υπολογίζεται από το Δ' τρίμηνο του 2012 και εντεύθεν με τους ισχύοντες για το Γ' τρίμηνο του 2012 συντελεστές αναθεώρησης και με ελάχιστη τιμή εφαρμογής αυτών ίση με την μονάδα (1).
8. Η αναθεώρηση της τιμής κάθε συμβατικού κονδυλίου γίνεται με βάση τα αντίστοιχα άρθρα εγκεκριμένων αναλύσεων τιμών που ορίζονται με τα συμβατικά τεύχη. Όταν πρόκειται για κονδύλια που δεν ταυτίζονται με άρθρα εγκεκριμένων αναλύσεων ή σε περιπτώσεις κατ' αποκοπή τιμών ή σύνθετων τιμών τα συμβατικά τεύχη ή τα πρωτόκολλα νέων τιμών καθορίζουν για την αναθεώρησή τους παρεμφερή άρθρα εγκεκριμένων αναλύσεων ή ομάδα τέτοιων κονδυλίων με τα αντίστοιχα βάρη καθενός άρθρου.
9. Οι διατάξεις του άρθρου αυτού δεν εφαρμόζονται στις συμβάσεις με εργολαβικό αντάλλαγμα άλλο εκτός από χρηματική καταβολή και στις απολογιστικές εργασίες. Στις περιπτώσεις ανάθεσης συμβάσεων έργων κατά τα οριζόμενα στις περιπτώσεις β' και γ' της παραγράφου 2 του άρθρου 95 ή σε περιπτώσεις που το αντάλλαγμα συνομολογείται σε ξένο νόμισμα, καθορίζεται με τα έγγραφα της σύμβασης η αναθεώρηση και προσδιορίζεται ο τρόπος υπολογισμού της, ο οποίος μπορεί να είναι ίδιος ή διαφορετικός από τον ισχύοντα τρόπο αναθεώρησης.
10. Τα περιλαμβανόμενα στις πιστοποιήσεις υλικά θεωρούνται ως μερική εκτέλεση των εργασιών, για τις οποίες προορίζονται και η αναθεώρηση της πιστοποιούμενης αξίας τους γίνεται, όταν πιστοποιούνται, με τους συντελεστές των κονδυλίων στα οποία προβλέπεται να χρησιμοποιηθούν. Όταν εκτελεσθούν οι εργασίες, η αναθεώρηση υπολογίζεται μόνο στο υπόλοιπο μέρος της αξίας τους, ύστερα από αφαίρεση της αξίας των υλικών που είχαν πιστοποιηθεί σε προηγούμενη αναθεωρητική περίοδο.
11. Η προηγούμενη παράγραφος εφαρμόζεται ανάλογα και στις εργασίες που μένουν ημιτελείς σε μια αναθεωρητική περίοδο.
12. Η αξία των υλικών που χορηγούνται από τον φορέα κατασκευής του έργου δεν υπόκειται σε καμιά αναθεώρηση. Για την αναθεώρηση των τιμών των εργασιών που ορίζονται στη σύμβαση χωρίς την αξία των υλικών τα αντίστοιχα ποσά ΑV και Α0 που περιέχονται στον τύπο του παρόντος άρθρου υπολογίζονται αφού η σχετική ανάλυση συμπληρωθεί με μηδενική την αξία του υλικού. Αν οι τιμές περιλαμβάνουν την αξία των υλικών, τότε εφαρμόζεται ο ίδιος συντελεστής και στην εκπιπτόμενη αξία του υλικού, εκτός αν ρητά ορίζεται στη σύμβαση άλλος τρόπος υπολογισμού της αναθεώρησης στην εκπιπτόμενη αξία του υλικού.
13. Στις περιπτώσεις που στη σύμβαση προβλέπεται η προμήθεια εξοπλισμού ή σημαντικής αξίας μηχανημάτων για τη λειτουργία ή εγκατάσταση στο έργο και προσδιορίζεται χωριστά το αντάλλαγμα για την προμήθεια, μπορεί για το αντάλλαγμα αυτό να οριστεί με τη σύμβαση άλλος τρόπος αναθεώρησης.
14. Η αναθεώρηση δεν εφαρμόζεται στα ποσά αποζημιώσεων που αναγνωρίζονται διοικητικά ή δικαστικά, εκτός αν τα ποσά αυτά είναι συνάρτηση τιμών για τις οποίες προβλέπεται στη συγκεκριμένη περίπτωση αναθεώρηση, σύμφωνα με ό,τι προκύπτει από τη σχετική δικαστική απόφαση ή διοικητική πράξη.
15. Το ποσό της αναθεώρησης καταβάλλεται από τις πιστώσεις του έργου, χωρίς να απαιτείται η προηγούμενη σύνταξη Ανακεφαλαιωτικού Πίνακα Εργασιών.
16. Πέρα από την προβλεπόμενη στις διατάξεις του άρθρου αυτού αναθεώρηση τιμών αποκλείεται η αναπροσαρμογή του εργολαβικού ανταλλάγματος ή η διάλυση των συμβάσεων δημόσιων έργων, κατ' εφαρμογή των διατάξεων των άρθρων 288 ή 388 του Αστικού Κώδικα ένεκα της αυξομείωσης των τιμών.
17. Η διαπίστωση των βασικών τιμών ημερομισθίων, υλικών και μισθωμάτων, μηχανημάτων όπως και των εργοδοτικών επιβαρύνσεων στα ημερομίσθια γίνεται από την Επιτροπή Διαπίστωσης Τιμών Δημόσιων Έργων (ΕΔΤΔΕ), που προβλέπεται από το άρθρο 9 της κοινής απόφασης των Υπουργών Προεδρίας της Κυβέρνησης και Περιβάλλοντος, Χωροταξίας και Δημόσιων Έργων υπ' αριθμόν 80885/5439/1992 (ΦΕΚ 573/Β/1992).
18. Οι τιμές που διαπιστώνονται από την επιτροπή είναι οι μέσες τιμές που διαμορφώνονται στην αγορά της περιοχής της πρωτεύουσας και οι τιμές αυτές χρησιμοποιούνται σε όλη τη χώρα, όχι μόνο για την αναθεώρηση αλλά και για οποιαδήποτε άλλη συμπλήρωση αναλύσεων τιμών, όπου προβλέπουν τη χρήση των αναλύσεων οι σχετικές διατάξεις. Οι τιμές των ημερομισθίων αναφέρονται στον μέσης απόδοσης εργαζόμενο της αντίστοιχης ειδικότητας. Οι τιμές υλικών είναι οι τιμές που διαμορφώνονται για τη χονδρική πώληση των υλικών ως ελεύθερων εμπορευμάτων και περιλαμβάνουν κάθε σχετική επιβάρυνση που περιλαμβάνεται στις τιμές αυτές, σύμφωνα με τις ισχύουσες διατάξεις και τα συναλλακτικά ήθη (όπως πάγια συνυπολογιζόμενες συσκευασίες ή μεταφορές, φόρος προστιθέμενης αξίας τιμολογίων). Οι τιμές μισθωμάτων μηχανημάτων και αυτοκινήτων διαπιστώνονται για μηχανήματα σε καλή κατάσταση λειτουργίας. Όταν διατίθενται από φορέα του δημόσιου τομέα τέτοια μηχανήματα, λαμβάνονται υπόψη και οι τιμές των μισθωμάτων αυτών. Σε εξαιρετικές περιπτώσεις μηχανημάτων που δεν υπάρχουν στην αγορά επαρκή στοιχεία για τη διαμόρφωση της τιμής τους η Επιτροπή λαμβάνει υπόψη της τα χαρακτηριστικά του μηχανήματος (όπως κόστος, απόδοση, διάρκεια ζωής, κατανάλωση ενέργειας), σε σύγκριση με άλλα ανάλογα μηχανήματα για τα οποία διαμορφώνεται αγοραίο μίσθωμα. Για τη διαπίστωση των τιμών γενικά η επιτροπή λαμβάνει υπόψη της κάθε πρόσφορο στοιχείο και ιδιαίτερα τα στοιχεία που συγκεντρώνονται συνεχώς από την αρμόδια υπηρεσία της Γενικής Γραμματείας Υποδομών, η οποία και παρέχει γραμματειακή και διοικητική εξυπηρέτηση στην επιτροπή. Οι τιμές που διαπιστώνονται από την Επιτροπή ισχύουν για όλες τις εργολαβίες.
19. Απόσπασμα των πρακτικών της επιτροπής, που περιλαμβάνει τις τιμές που διαπιστώνονται, κοινοποιείται στο Τεχνικό Επιμελητήριο Ελλάδος και στις πανελλήνιες επαγγελματικές εργοληπτικές ενώσεις, που δίνουν κάθε δυνατή δημοσιότητα στις τιμές. Οι πιο πάνω πανελλήνιες εργοληπτικές ενώσεις μπορούν να ασκήσουν ένσταση κατά των πρακτικών για ορισμένες τιμές, σε ανατρεπτική προθεσμία 15 ημερών από την κοινοποίηση των πρακτικών στο Τεχνικό Επιμελητήριο Ελλάδος. Η ένσταση κατατίθεται στη γραμματεία της Επιτροπής και σε αυτή αποφασίζει ο Υπουργός Υποδομών, Μεταφορών και Δικτύων μετά από γνώμη της ίδιας επιτροπής της παραγράφου 17. Η απόφαση κοινοποιείται όπως και το απόσπασμα του πρακτικού της επιτροπής και ενεργεί έναντι πάντων.
20. Η αναθεώρηση υπολογίζεται με βάση συντελεστές που κοινοποιούνται μηχανογραφικά. Στην περίπτωση της παραγράφου 12, αν δεν δίνονται μηχανογραφικά οι συντελεστές με μηδενική την αξία των υλικών, συντάσσεται ειδικό φύλλο υπολογισμού του συντελεστή. Το ίδιο εφαρμόζεται και σε κάθε περίπτωση που ο σχετικός συντελεστής δεν δίνεται μηχανογραφικά. Στις περιπτώσεις κονδυλίων αναλύσεων με πληθώρα εξειδικευμένων παραμέτρων ή ποιοτήτων υλικών διαφόρων προελεύσεων ή κυμαινόμενων μέσα στο αυτό άρθρο συντελεστών μεταφοράς, η αναθεώρηση γίνεται με το μηχανογραφικά κοινοποιούμενο συντελεστή της αντιπροσωπευτικότερης σχετικής περίπτωσης.
21. Στις πιστοποιήσεις εμφανίζονται συνολικά τα ποσά αναθεώρησης κάθε αναθεωρητικής περιόδου, όπως προκύπτουν από το σχετικό πίνακα. Οι ποσότητες εργασιών που έχουν εκτελεσθεί ή έπρεπε να εκτελεσθούν μέσα σε κάθε αναθεωρητική περίοδο προκύπτουν από σχετικούς πίνακες κατανομής των εργασιών που απαιτούνται για τον υπολογισμό της αναθεώρησης. Με τους πίνακες αυτούς γίνεται και η εφαρμογή της παραγράφου 3 βάσει του χρονοδιαγράμματος του έργου, όπως αυτό οριστικοποιήθηκε ως εγκεκριμένο πρόγραμμα κατασκευής και με ανοχή εκτιμήσεων 10% προς τα πάνω ή προς τα κάτω από τη συνολική αξία εκτελεστέων εργασιών κατά αναθεωρητική περίοδο όπως προκύπτει από το πρόγραμμα αυτό.
22. Η αναθεώρηση κάθε αναθεωρητικής περιόδου περιλαμβάνεται στην πρώτη πιστοποίηση μετά την κοινοποίηση των συντελεστών της περιόδου αυτής. Μέχρι τότε υπολογίζεται η αναθεώρηση προσωρινά με τους συντελεστές της τελευταίας αναθεωρητικής περιόδου για την οποία έχουν κοινοποιηθεί οι συντελεστές αναθεώρησης. Για να περιληφθεί σε πιστοποίηση η αναθεώρηση δεν απαιτείται να έχει εγκριθεί ειδικό κονδύλιο για την αναθεώρηση και η πληρωμή γίνεται από τις εγκεκριμένες για το έργο πιστώσεις.
23. Κατ' εξαίρεση από το Δ' τρίμηνο του 2012 και εντεύθεν, ο σταθερός συντελεστής σ στον τύπο αναθεώρησης της παραγράφου 6 ορίζεται από τη σχέση s (ή σ) = 1. Η διάταξη εφαρμόζεται σε όλες τις συμβάσεις που βρίσκονται σε εξέλιξη ανεξάρτητα του χρόνου δημοπράτησης τους, εκτός από τις συμβάσεις με χρόνο δημοπράτησης πριν το Γ' τρίμηνο του 2012, για τις οποίες η αναθεώρηση των τιμών υπολογίζεται από το Δ' τρίμηνο του 2012 και εντεύθεν με τους ισχύοντες για το Γ' τρίμηνο του 2012 συντελεστές αναθεώρησης και με ελάχιστη τιμή εφαρμογής αυτών ίση με τη μονάδα (1). Με απόφαση του Υπουργού Υποδομών και Μεταφορών μπορεί να ορίζονται συντελεστές αναθεώρησης αν διαπιστωθεί από τις αρμόδιες υπηρεσίες της Γενικής Γραμματείας Υποδομών μεγάλη απόκλιση από τις τιμές του Γ' τριμήνου του 2012.
ΣΗΜΕΙΩΣΗ: Η παράγραφος 23 τίθεται όπως αντικαταστάθηκε με την παράγραφο 36 του άρθρου 22 του νόμου 4441/2016 (ΦΕΚ 227/Α/2016).
|
24. Για δημόσια έργα που εκτελούνται από ημεδαπές Αναθέτουσες Αρχές, εκτός Ελλάδας, σε χώρα της Ένωσης η αναθεώρηση τιμών υπολογίζεται με βάση τον ισχύοντα τύπο:

όπου ο Γενικός Δείκτης Τιμών Καταναλωτή (ΓΔΤΚ) διαπιστώνεται και υπολογίζεται για την εξεταζόμενη αναθεωρητική περίοδο (ημερολογιακό τρίμηνο) από την Επιτροπή Διαπιστώσεως Τιμών Δημοσίων Έργων (ΕΔΤΔΕ) με βάση τη σχετική δημοσιευόμενη χρονοσειρά μηνιαίων δεικτών της Στατιστικής Υπηρεσίας της χώρας που κατασκευάζεται το έργο. Ο συντελεστής σ ορίζεται κατόπιν Απόφασης του Υπουργού, Υποδομών, Μεταφορών και Δικτύων.
Οι διατάξεις αυτές εφαρμόζονται και στις συμβάσεις των παραπάνω έργων, που βρίσκονται σε εξέλιξη, ανεξαρτήτως του χρόνου δημοπράτησής τους.
25. Για τα έργα εσωτερικού αναστέλλεται η έκδοση πρακτικών διαπίστωσης βασικών τιμών υλικών, εργατικών και μισθωμάτων μηχανημάτων από την Επιτροπή Διαπίστωσης Τιμών Δημοσίων Έργων.