| Συνδεθείτε στην Υπηρεσία Νομοσκόπιο | | | | | Νέοι χρήστες | | Εάν είστε νέος χρήστης, θα πρέπει να δημιουργήσετε ένα ΔΩΡΕΑΝ λογαριασμό προκειμένου να φύγει το παράθυρο αυτό και να αποκτήσετε πλήρη πρόσβαση στην υπηρεσία Νομοσκόπιο. | | Δημιουργία νέου λογαριασμού | | |
Μέθοδος Mononobe - Okabe

Σχήμα Δ.1: Τοίχος αντιστήριξης
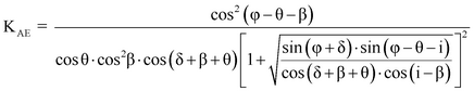
1. Η συνολική ενεργητική ώθηση ΕAE, από την δράση της βαρύτητας και την σεισμική δράση { αh, -αν }, είναι:
(Δ.1)
όπου:
(Δ.2)
(Δ.3)
γ είναι το ειδικό βάρος του εδάφους
αh και αv είναι αντίστοιχα ο οριζόντιος και ο κατακόρυφος σεισμικός συντελεστής,
H είναι το ύψος του τοίχου,
β είναι η γωνία της παρειάς του τοίχου ως προς την κατακόρυφη,
i είναι η γωνία της επιφάνειας του εδάφους ως προς την οριζόντια (β και i με την προσήμανση του Σχήματος Δ.1),
φ είναι η γωνία διατμητικής αντοχής (εσωτερικής τριβής) του εδάφους και
δ είναι η γωνία τριβής μεταξύ τοίχου και εδάφους.
2. Όταν στην σχέση (Δ.2) η τιμή του sin(φ — θ — ί) προκύπτει αρνητική, επιτρέπεται να λαμβάνεται ίση με 0.
3. Αν δεν γίνει ακριβέστερη εκτίμηση, το ύψος εφαρμογής ή της συνισταμένης των ωθήσεων επιτρέπεται να λαμβάνεται από την σχέση:
(Δ.4)
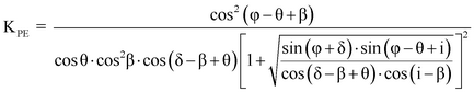
4. Η αντίστοιχη έκφραση για την παθητική ώθηση, που αναπτύσσεται όταν ο τοίχος κινείται προς την επίχωση, είναι η ακόλουθη:
(Δ.5)
5. Σε τοίχους μορφής L (με β ≥ Η/3), αν δεν γίνει ακριβέστερη ανάλυση, η ενεργητική ώθηση θα λαμβάνεται δρώσα στο κατακόρυφο επίπεδο ΑΒ που διέρχεται από την πίσω ακμή του θεμελίου, με παραδοχή δ=ί. Στην περίπτωση αυτή θα λαμβάνονται υπόψη, εκτός από τις δυνάμεις βαρύτητας, και οι αδρανειακές δυνάμεις (με επιταχύνσεις αh, -αν) που δρουν στο σώμα του τοίχου καθώς και στο πρίσμα γαιών που υπέρκειται του θεμελίου προς την πλευρά της επίχωσης.

Σχήμα Δ.2: Τοίχος αντιστήριξης μορφής L