| Συνδεθείτε στην Υπηρεσία Νομοσκόπιο | | | | | Νέοι χρήστες | | Εάν είστε νέος χρήστης, θα πρέπει να δημιουργήσετε ένα ΔΩΡΕΑΝ λογαριασμό προκειμένου να φύγει το παράθυρο αυτό και να αποκτήσετε πλήρη πρόσβαση στην υπηρεσία Νομοσκόπιο. | | Δημιουργία νέου λογαριασμού | | |
1. Γενικές αρχές και παραδοχές
1.1. Βάσεις υπολογισμού
1. Μέσα στα πλαίσια του παρόντος Κανονισμού θεωρούνται κτιριακές κυρίως κατασκευές, των οποίων η σεισμική απόκριση είναι είτε ελαστική - γραμμική είτε, συνηθέστερα, εμφανίζει υλικές μη-γραμμικότητες και περιορισμένες γεωμετρικές μη-γραμμικότητες (φαινόμενα 2ης τάξης).
2. Η σεισμική απόκριση σε όλες τις περιπτώσεις προκύπτει από μία ισοδύναμη γραμμική ανάλυση με την βοήθεια του κατάλληλου φάσματος σχεδιασμού και του αντίστοιχου συντελεστή συμπεριφοράς q.
3. Για τον υπολογισμό των πραγματικών (μετελαστικών) μετακινήσεων του συστήματος, οι μετακινήσεις που προκύπτουν από τον γραμμικό υπολογισμό με την σεισμική δράση σχεδιασμού θα πολλαπλασιάζονται επί τον αντίστοιχο συντελεστή συμπεριφοράς q.
4. Οι δύο οριζόντιες και κάθετες μεταξύ τους συνιστώσες του σεισμού μπορεί να έχουν οποιοδήποτε προσανατολισμό ως προς την κατασκευή.
5. Επιτρέπεται, γενικά, η παράλειψη της κατακόρυφης συνιστώσας του σεισμού, εκτός από τις περιπτώσεις φορέων από προεντεταμένο σκυρόδεμα και δοκών που φέρουν φυτευτά υποστυλώματα στις ζώνες σεισμικής επικινδυνότητας ΙΙ και ΙΙΙ. Στις περιπτώσεις αυτές επιτρέπεται η προσομοίωση και ανάλυση των παραπάνω δομικών στοιχείων σύμφωνα με την παράγραφο 3.6, ανεξάρτητα από την υπόλοιπη κατασκευή. Επίσης, σε κτίρια από φέρουσα τοιχοποιία, θα πρέπει να διερευνάται, γενικά, η επίδραση της κατακόρυφης συνιστώσας του σεισμού.
1.2. Μέθοδοι υπολογισμού
1. Προβλέπεται η εφαρμογή των παρακάτω δύο μεθόδων γραμμικού προγραμματισμού υπολογισμού της σεισμικής απόκρισης:
α) Δυναμική φασματική μέθοδος.
β) Απλοποιημένη φασματική μέθοδος (Ισοδύναμη στατική μέθοδος).
Το πεδίο και ο τρόπος εφαρμογής των δύο αυτών μεθόδων καθορίζονται στις παραγράφους 4 και 5 αντίστοιχα.
2. Σε εντελώς ειδικές περιπτώσεις επιτρέπεται, συμπληρωματικά προς τις παραπάνω μεθόδους, η εφαρμογή άλλων δοκίμων μεθόδων υπολογισμού, όπως γραμμική ή μη γραμμική ανάλυση με εν χρόνω ολοκλήρωση επιταχυνσιογραφημάτων, κ.λ.π. Οι μέθοδοι αυτές θα εφαρμόζονται υπό μορφή πρόσθετων ελέγχων και προς την πλευρά της ασφάλειας.
3. Στην περίπτωση των κτιρίων για την εφαρμογή οποιασδήποτε μεθόδου υπολογισμού χρησιμοποιείται, γενικά, χωρικό προσομοίωμα της κατασκευής.
Η χρήση επίπεδου προσομοιώματος επιτρέπεται έπειτα από σχετική τεκμηρίωση της αξιοπιστίας του.
2. Προσομοίωση
2.1. Ελευθερίες κίνησης
1. Ο αριθμός και το είδος των ελευθεριών κίνησης εκλέγεται σε κάθε περίπτωση με κριτήριο την απόδοση με επαρκή προσέγγιση όλων των σημαντικών παραμορφώσεων και δυνάμεων αδράνειας των φορέων.
2. Σε κτίρια που υπόκεινται σε οριζόντια σεισμική δράση και με εξασφαλισμένη τη διαφραγματική λειτουργία των πλακών αρκεί η θεώρηση τριών ελευθεριών κίνησης ανά όροφο (δύο μετατοπίσεις και μία στροφή).
3. Σε κτίρια στα οποία δεν είναι εξασφαλισμένη η παραπάνω διαφραγματική λειτουργία, απαιτείται η εισαγωγή ικανού αριθμού ελευθεριών κίνησης, με κατάλληλη διακριτοποίηση, για την απόδοση της παραμόρφωσης των πλακών μέσα στο επίπεδο τους.
4. Η στήριξη των φορέων στο έδαφος θεωρείται, γενικά, στερεά. Επιτρέπεται η εισαγωγή πρόσθετων ελευθεριών κίνησης των σημείων στήριξης (ελαστική στήριξη).
2.2. Προσομοίωση των μαζών
1. Η διακριτοποίηση των κατανεμημένων μαζών των κατασκευών σε ιδεατές συγκεντρωμένες μάζες γίνεται με τους παρακάτω όρους:
| • | Κάθε σημείο συγκέντρωσης μάζας εφοδιάζεται με την μάζα και με τις ροπές αδράνειας μάζας του στερεού τμήματος στο οποίο αντιστοιχεί, ανάλογα με τον αριθμό και το είδος των ελευθεριών κίνησης που διαθέτει. |
| • | Η κατανομή των συγκεντρωμένων μαζών στην έκταση της κατασκευής γίνεται με κριτήριο τη διατήρηση του κέντρου βάρους και των ροπών αδράνειας των κατανεμημένων μαζών. |
| • | Επιτρέπεται η αιτιολογημένη παράλειψη των ροπών αδράνειας μάζας και η απαλοιφή των αντίστοιχων δυναμικών ελευθεριών κίνησης από το προσομοίωμα. |
2. Σε κτίρια που υπόκεινται σε οριζόντια σεισμική δράση και με εξασφαλισμένη τη διαφραγματική λειτουργία των πλακών, επιτρέπεται η συγκέντρωση της μάζας κάθε ορόφου και της αντίστοιχης ροπής αδράνειας μάζας περί κατακόρυφο άξονα στο κέντρο βάρους του ορόφου.
3. Οι τιμές των μαζών προκύπτουν από τα κατακόρυφα φορτία Gk+ψ2Qk, όπου Gk και Qk είναι οι αντιπροσωπευτικές τιμές των μόνιμων και μεταβλητών φορτίων και ψ2 μειωτικός συντελεστής που δίδεται από τον Πίνακα 4.1.
2.3. Προσομοίωση δυσκαμψίας φερόντων στοιχείων
1. Στο προσομοίωμα της κατασκευής θα λαμβάνονται υπόψη όλα τα φέροντα στοιχεία που έχουν σημαντική συμβολή στη δυσκαμψία του συστήματος. Στο πλαίσιο της ισοδύναμης γραμμικής ανάλυσης που κινείται ο παρών κανονισμός, η δυσκαμψία των στοιχείων πρέπει να αποδίδει με επαρκή προσέγγιση την παραμόρφωση υπό τις μέγιστες τάσεις που προκαλούνται από την σεισμική δράση σχεδιασμού. Σε στοιχεία που αναπτύσσουν πλαστικές αρθρώσεις θα χρησιμοποιείται η τέμνουσα δυσκαμψία στο υπολογιστικό σημείο διαρροής.
2. Σε περίπτωση κατασκευών από οπλισμένο σκυρόδεμα οι δυσκαμψίες των στοιχείων θα υπολογίζονται με παραδοχή σταδίου II. Εάν δεν γίνεται ακριβέστερη εκτίμηση, η καμπτική δυσκαμψία σταδίου II επιτρέπεται να λαμβάνεται για τα υποστυλώματα ίση με αυτήν του σταδίου I, χωρίς συνυπολογισμό της συμβολής του οπλισμού (δυσκαμψία γεωμετρικής διατομής), για τα τοιχώματα ίση με τα 2/3 της παραπάνω τιμής, και για τα οριζόντια στοιχεία ίση με το 1/2, ενώ η στρεπτική δυσκαμψία όλων των στοιχείων (εφόσον δεν αγνοείται) ίση με 1/10 της αντίστοιχης τιμής του σταδίου I.
3. Μέσα στα πλαίσια ισχύος των γραμμικών μεθόδων υπολογισμού που δέχεται ο παρών κανονισμός προβλέπεται:
| • | Η χρήση γραμμικού προσομοιώματος μηχανικής συμπεριφοράς της κατασκευής με την εισαγωγή του κατάλληλου συντελεστή συμπεριφοράς q. |
| • | Η εξομοίωση όλων των τύπων απόσβεσης (πλην της υστερητικής) με μία ισοδύναμη ιξώδη - γραμμική απόσβεση, η οποία εκφράζεται ως ποσοστό ζ(%) της κρίσιμης ιξώδους απόσβεσης. |
| • | Η λήψη κατασκευαστικών μέτρων για την υποβάθμιση ειδικών φαινομένων μη γραμμικότητας (βλέπε παράγραφο 4.1.2.2, 4.1.7 και 5.2.4). |
4. Κατά την προσομοίωση του εδάφους θεμελίωσης επιτρέπεται, γενικά, η παράλειψη των αδρανειακών και αποσβεστικών του χαρακτηριστικών και η θεώρηση μόνον των ελαστικών (ελατηριακές σταθερές).
3. Εκκεντρότητες σχεδιασμού
3.1. Τυχηματική εκκεντρότητα
1. Για την αντιμετώπιση στρεπτικών επιπονήσεων ενός κτιρίου, οφειλομένων σε παράγοντες που δεν είναι πρακτικά εφικτό να προσομοιωθούν, η μάζα mi ή η σεισμική δύναμη Fi κάθε ορόφου θα λαμβάνεται μετατοπισμένη διαδοχικά εκατέρωθεν του κέντρου βάρους, κάθετα προς την διεύθυνση της εξεταζόμενης οριζόντιας συνιστώσας του σεισμού, σε απόσταση ίση με την τυχηματική εκκεντρότητα eTi του ορόφου i.
2. Η τυχηματική εκκεντρότητα eTi λαμβάνεται ίση προς 0.05·Li , όπου Li το πλάτος του ορόφου κάθετα προς την εξεταζόμενη διεύθυνση.
3.2. Εφαρμογή δυναμικής φασματικής μεθόδου
1. Κατά την εφαρμογή της μεθόδου αυτής οι μάζες mi των ορόφων θα μετατοπίζονται διαδοχικά εκατέρωθεν του θεωρητικού κέντρου μάζας Mi, σύμφωνα με την προηγούμενη παράγραφο, οπότε προκύπτουν τέσσερα διαφορετικά συστήματα προς ανάλυση με την υπόψη μέθοδο.
2. Εναλλακτικά, λόγω της εγγενούς αβεβαιότητας της τυχηματικής εκκεντρότητας, επιτρέπεται η αποτίμηση των αποτελεσμάτων της, χωρίς μετατόπιση των μαζών, μέσω πρόσθετης στατικής φόρτισης από ομόσημα στρεπτικά ζεύγη ίσα προς ± 2 · eTi · Fi σε κάθε όροφο. Η σεισμική δύναμη Fi του ορόφου, αν δεν υπολογίζεται ακριβέστερα, μπορεί να λαμβάνεται από τη σχέση (3.15) για κάθε διεύθυνση υπολογισμού. Τα προκύπτοντα από τη φόρτιση αυτή αποτελέσματα αθροίζονται αλγεβρικά με τα αποτελέσματα εφαρμογής της δυναμικής φασματικής μεθόδου κατά την θεωρούμενη διεύθυνση υπολογισμού.
3.3. Εφαρμογή απλοποιημένης φασματικής μεθόδου
1. Κατά την εφαρμογή της μεθόδου αυτής, για κάθε κύρια διεύθυνση του κτιρίου και σε κάθε διάφραγμα, οι σεισμικές δυνάμεις Fi εφαρμόζονται εκατέρωθεν του κέντρου μάζας Mi με τις παρακάτω εκκεντρότητες σχεδιασμού ως προς τον (πραγματικό ή πλασματικό) ελαστικό άξονα του κτιρίου (Σχήμα 3.1):
max ei = efi+eTi (3.1.α)
min ei = eri-eTi (3.1.β)
όπου:
eTi η τυχηματική εκκεντρότητα και
efi, eri οι ισοδύναμες στατικές εκκεντρότητες.
2. Ως πραγματικός ή πλασματικός ελαστικός άξονας του κτιρίου ορίζεται ο κατακόρυφος άξονας που διέρχεται από τον πόλο στροφής Pο του πλησιέστερου προς την στάθμη zo = 0.8·H διαφράγματος (io) του κτιρίου, για στρεπτική φόρτιση όλων των διαφραγμάτων με τις ομόσημες στρεπτικές ροπές Μzi = c·Fi, όπου H το ύψος του κτιρίου και c αυθαίρετος μοχλοβραχίονας των δυνάμεων Fi (π.χ. c = 1).
3. Στη γενική περίπτωση, ο προσανατολισμός των κύριων διευθύνσεων x, y του κτιρίου ως προς το τυχόν σύστημα αναφοράς PoXY καθορίζεται με την γωνία α της σχέσης:
(3.2)
όπου uXX, uYY και uXY=uYX, οι μετατοπίσεις του σημείου Po για τις παρακάτω φορτίσεις του κτιρίου με τις σεισμικές δυνάμεις Fi:
| • | Φόρτιση κατά X: uXX, uYX |
| • | Φόρτιση κατά Y: uXY, uYY |

Σχήμα 3.1: Εκκεντρότητες σχεδιασμού.
4. Στην ειδική περίπτωση κτιρίων με παράλληλη διάταξη των κύριων αξόνων αδράνειας όλων των κατακόρυφων στοιχείων δυσκαμψίας, οι κύριες διευθύνσεις x, y του κτιρίου λαμβάνονται παράλληλες προς τους άξονες αυτούς.
5. Σε κτίρια χωρίς στρεπτική ευαισθησία, αν δεν γίνεται ακριβέστερος υπολογισμός, οι ισοδύναμες στατικές εκκεντρότητες δίδονται από τις προσεγγιστικές σχέσεις:
(3.3 α,β)
όπου eo i η στατική εκκεντρότητα του ορόφου i κάθετα προς την θεωρούμενη διεύθυνση των δυνάμεων (δηλαδή eox,i ή eo y,i).
6. Σε κτίρια με στρεπτική ευαισθησία απαιτείται είτε ακριβέστερος υπολογισμός των efi ή eri συναρτήσει της στατικής εκκεντρότητας eo i και της ακτίνας δυστρεψίας ρ (βλέπε Παράρτημα ΣΤ), είτε εφαρμογή της δυναμικής φασματικής μεθόδου.
7. Ένα κτίριο θεωρείται στρεπτικά ευαίσθητο, όταν κατά τη μία τουλάχιστον κύρια διεύθυνση (x ή y) η ακτίνα δυστρεψίας ρm,i ως προς το κέντρο μάζας Mi κάθε διαφράγματος είναι μικρότερη ή ίση από την ακτίνα αδράνειας ri του διαφράγματος (ρm,i ≤ ri). Οι ακτίνες δυστρεψίας ρMX,i και ρMY,i κατά τις κύριες διευθύνσεις x και y του κτιρίου δίδονται από τις σχέσεις:
(3.4.α)
(3.4.β)
όπου:
οι στατικές εκκεντρότητες κατά τις διευθύνσεις των κύριων αξόνων x, y και
οι αντίστοιχες ακτίνες δυστρεψίας ως προς τον ελαστικό άξονα, υπολογιζόμενες από τις σχέσεις:
(3.5.α,β)
όπου:
ux, uy, μετατοπίσεις του σημείου Po για φόρτιση του κτιρίου με τις σεισμικές δυνάμεις Fi κατά τις κύριες διευθύνσεις x και y αντίστοιχα και
θz, γωνία στροφής στο διάφραγμα io για τη στρεπτική φόρτιση με τις ομόσημες στρεπτικές ροπές Mzi = +c·Fi.
4. Δυναμική φασματική μέθοδος
4.1. Γενικά
1. Η δυναμική φασματική μέθοδος εφαρμόζεται χωρίς περιορισμούς σε όλες τις περιπτώσεις κατασκευών που καλύπτει ο παρών Κανονισμός.
2. Με τη μέθοδο αυτή υπολογίζονται οι πιθανές ακραίες τιμές τυχόντος μεγέθους απόκρισης με τετραγωνική επαλληλία των ιδιομορφικών τιμών του υπόψη μεγέθους.
3. Κατά την εφαρμογή της μεθόδου αρκεί η θεώρηση ενός μόνον προσανατολισμού των δύο οριζόντιων (και κάθετων μεταξύ τους) συνιστωσών του σεισμού. Για q = 1 χρησιμοποιείται το ελαστικό φάσμα Φe(Τ) (με εισαγωγή της κατάλληλης τιμής του συντελεστή θεμελίωσης θ), ενώ για q > 1 χρησιμοποιείται το φάσμα σχεδιασμού Φd(Τ).
4. Στη συνήθη περίπτωση κατασκευών από το ίδιο υλικό, επιτρέπεται η χρήση σταθερού ποσοστού κρίσιμης απόσβεσης ζ για όλες τις ιδιομορφές ταλάντωσης του συστήματος.
4.2. Αριθμός σημαντικών ιδιομορφών
1. Για κάθε συνιστώσα της σεισμικής διέγερσης θα λαμβάνεται υποχρεωτικά υπόψη ένας αριθμός ιδιομορφών, έως ότου το άθροισμα των δρωσών ιδιομορφικών μαζών ΣMi φθάσει στο 90% της συνολικής ταλαντούμενης μάζας Μ του συστήματος.
2. Αν σε ειδικές περιπτώσεις κατασκευών (π.χ. με πολύ μεγάλη ανομοιομορφία δυσκαμψιών) το παραπάνω όριο δεν επιτυγχάνεται μέχρι την ιδιομορφή με ιδιοπερίοδο Τ = 0.03 sec, τότε η συνεισφορά των υπολοίπων ιδιομορφών λαμβάνεται υπόψη προσεγγιστικά, πολλαπλασιάζοντας τις τελικές τιμές των μεγεθών έντασης και μετακίνησης με τον αυξητικό παράγοντα Μ/ΣΜi.
3. Οι ιδιομορφές με ιδιοπερίοδο Τ ≥ 0.20 sec λαμβάνονται πάντοτε υπόψη.
4.3. Επαλληλία ιδιομορφικών αποκρίσεων
1. Δύο ιδιομορφές i και j (i < j) με ιδιοπεριόδους Ti και Τj (Ti ≥ Tj) θεωρούνται ασυσχέτιστες όταν:
(3.6)
όπου ζ (σε %) το ποσοστό κρίσιμης απόσβεσης των ιδιομορφών.
2. Για κάθε συνιστώσα της σεισμικής διέγερσης, οι πιθανές ακραίες τιμές ex A τυχόντος μεγέθους απόκρισης Α δίδονται από τη σχέση:
(3.7)
όπου Ai (i=1,2,...) οι ιδιομορφικές τιμές του μεγέθους Α και:
(3.8)
ο συντελεστής συσχέτισης των δύο ιδιομορφών i και j (εi,i = 1, εi,j = εj,i). Για τις ασυσχέτιστες ιδιομορφές λαμβάνεται εi,j = 0 και αν όλες οι ιδιομορφές είναι ασυσχέτιστες θα έχουμε:
(3.9)
3. Δεν επιτρέπεται, γενικά, η χρήση των ακραίων τιμών δύο ή περισσότερων μεγεθών για τον υπολογισμό της ακραίας τιμής ενός άλλου παράγωγου μεγέθους.
4.4. Χωρική επαλληλία
1. Για ταυτόχρονη δράση των τριών συνιστωσών του σεισμού, οι πιθανές ακραίες τιμές ex Α τυχόντος μεγέθους απόκρισης Α δίδονται από τη σχέση:
(3.10)
όπου ex A,x, ex A,y, ex A,z οι πιθανές ακραίες τιμές του υπόψη μεγέθους για ανεξάρτητη σεισμική δράση κατά τις διευθύνσεις x, y και z, αντίστοιχα (εξισώσεις 3.7 ή 3.9).
2. Η πιθανή ταυτόχρονη προς την ex Α τιμή Β,Α ενός άλλου μεγέθους απόκρισης Β δίδεται από τη σχέση:
(3.11)α)
όπου:
(3.11)β)
ο παράγων συσχέτισης των μεγεθών Α, Β, και (Ai,x, Bj,x), (Ai,y, Bj,y), (Ai,z, Bj,z), i,j=1,2,...N οι ιδιομορφικές τιμές των μεγεθών Α Β για ανεξάρτητη σεισμική δράση κατά τις διευθύνσεις x, y, και z, αντίστοιχα.
3. Για την διαστασιολόγηση στοιχείων από οπλισμένο σκυρόδεμα που επιπονούνται με περισσότερα από ένα εντατικά μεγέθη, αρκεί η διαδοχική θεώρηση της ακραίας τιμής κάθε μεγέθους και των πιθανών ταυτόχρονων (προς την ακραία αυτή τιμή) τιμών των άλλων μεγεθών.
4. Εναλλακτικά, αντί της προηγούμενης μεθοδολογίας, επιτρέπεται η διαστασιολόγηση με τον δυσμενέστερο από τους επόμενους συνδυασμούς εντατικών μεγεθών:

όπου λ = μ = 0.30.
Στις συμβολικές αυτές σχέσεις τα Sx, Sy και Sz παριστάνουν τα διανύσματα των ακραίων τιμών των εντατικών μεγεθών Α, Β,... της εξεταζόμενης διατομής για ανεξάρτητη σεισμική διέγερση κατά τις διευθύνσεις x, y και z, αντίστοιχα. Στη συνήθη περίπτωση αγνόησης της κατακόρυφης συνιστώσας του σεισμού (βλέπε παράγραφο 1.1.(5)) ο τρίτος συνδυασμός παραλείπεται και τίθεται μ = 0 στους δύο πρώτους. Επίσης, επιτρέπεται και η συντηρητική διαστασιολόγηση με βάση τις ακραίες τιμές όλων των εντατικών μεγεθών της διατομής, λαμβάνοντας υπόψη όλους τους πιθανούς συνδυασμούς των προσήμων τους.
5. Απλοποιημένη φασματική μέθοδος
5.1. Γενικά - Πεδίο εφαρμογής
1. Η απλοποιημένη φασματική μέθοδος προκύπτει από τη δυναμική φασματική μέθοδο με προσεγγιστική θεώρηση μόνον της θεμελιώδους ιδιομορφής ταλάντωσης για κάθε διεύθυνση υπολογισμού (μονοϊδιομορφική μέθοδος). Η απλοποίηση αυτή επιτρέπει τον άμεσο υπολογισμό της σεισμικής απόκρισης με τη βοήθεια ισοδύναμων σεισμικών δυνάμεων, οι οποίες εφαρμόζονται σαν στατικά φορτία επάνω στην κατασκευή σύμφωνα με την παράγραφο 3.3.
2. Κατά την εφαρμογή της μεθόδου οι δύο οριζόντιες συνιστώσες του σεισμού εκλέγονται παράλληλα προς τις κύριες διευθύνσεις του κτιρίου και χρησιμοποιείται πάντοτε το φάσμα σχεδιασμού Φd(Τ).
3. Η μέθοδος εφαρμόζεται στις παρακάτω περιπτώσεις:
(α) Κανονικά κτίρια μέχρι 10 ορόφους.
(β) Μη κανονικά κτίρια μέχρι 5 ορόφους με εξασφαλισμένη τη διαφραγματική λειτουργία των πλακών.
Εξαιρούνται τα κτίρια σπουδαιότητας Σ4 άνω των δύο ορόφων σε ζώνες οποιασδήποτε σεισμικής επικινδυνότητας και τα κτίρια σπουδαιότητας Σ3 άνω των δύο ορόφων στις ζώνες σεισμικής επικινδυνότητας ΙΙ και ΙΙΙ.
4. Ένα κτίριο θα λέγεται κανονικό, όταν ικανοποιεί τις παρακάτω συνθήκες:
(α) Τα πατώματα λειτουργούν ως απαραμόρφωτα διαφράγματα μέσα στο επίπεδο τους. Η λειτουργία αυτή, αν δεν γίνεται ακριβέστερος έλεγχος, θεωρείται ότι δεν είναι εξασφαλισμένη σε επιμήκη ορθογωνικά κτίρια (ή τμήματα κτιρίων) με λόγο πλευρών μεγαλύτερο του 4, καθώς επίσης και σε κτίρια με κενά που υπερβαίνουν το 35% της κάτοψης του ορόφου.
(β) H αύξηση ή μείωση ΔΚi = Κi+1 - Ki της σχετικής δυσκαμψίας Ki ενός ορόφου σε κάθε οριζόντια διεύθυνση δεν υπερβαίνει τις τιμές 0.35Ki και 0.50Ki, αντίστοιχα. Η δυσκαμψία ενός ορόφου σε μία διεύθυνση θα λαμβάνεται ως το άθροισμα των σχετικών δυσκαμψιών Ε · Ι / h των κατακόρυφων στοιχείων του ορόφου.
(γ) Η αύξηση ή μείωση Δ mi = mi+1 - mi της μάζας mi ενός ορόφου δεν υπερβαίνει τις τιμές 0.35 mi και 0.50 mi , αντίστοιχα. Από τον έλεγχο του κριτηρίου αυτού εξαιρείται ο ανώτατος όροφος και τυχόν απόληξη κλιμακοστασίου.
5.2. Ισοδύναμα σεισμικά φορτία
1. Για κάθε κύρια διεύθυνση του κτιρίου το συνολικό μέγεθος των σεισμικών φορτίων (τέμνουσα βάσης) υπολογίζεται από τη σχέση:
(3.12)
όπου:
Μ είναι η συνολική ταλαντούμενη μάζα της κατασκευής,
Φd(T) είναι η τιμή της φασματικής επιτάχυνσης σχεδιασμού, όπως προκύπτει από τις εξισώσεις 2.1 και
Τ είναι η θεμελιώδης ασύζευκτη ιδιοπερίοδος μεταφορικής ταλάντωσης κατά την θεωρούμενη κύρια διεύθυνση του κτιρίου, η οποία υπολογίζεται με οποιαδήποτε αναγνωρισμένη μέθοδο της Μηχανικής.
Σε ορθογωνική κάτοψη επιτρέπεται η εφαρμογή του παρακάτω εμπειρικού τύπου για τον υπολογισμό της θεμελιώδους ιδιοπεριόδου:
(3.13)
όπου:
Η το ύψος του κτιρίου,
L το μήκος του κτιρίου κατά την θεωρούμενη διεύθυνση υπολογισμού και
ρ ο λόγος της επιφανείας των διατομών των τοιχωμάτων ανά διεύθυνση σεισμικής δράσης προς την συνολική επιφάνεια τοιχωμάτων και υποστυλωμάτων.
2. Η καθ' ύψος κατανομή των σεισμικών φορτίων γίνεται σύμφωνα με την σχέση:
(3.14)
όπου:
mi είναι η συγκεντρωμένη μάζα στην στάθμη i,
φi είναι η συνιστώσα στην στάθμη i της θεμελιώδους ιδιομορφής μεταφορικής ταλάντωσης κατά την θεωρούμενη κύρια διεύθυνση του κτιρίου, η οποία υπολογίζεται με οποιαδήποτε αναγνωρισμένη μέθοδο της Μηχανικής,
VH =0.07·T·Vo(≤0.25·Vo) είναι μια πρόσθετη δύναμη που εφαρμόζεται στην κορυφή του κτιρίου όταν Τ ≥ 1.0 sec και
Ν είναι ο αριθμός των ορόφων.
3. Σε κανονικά κτίρια επιτρέπεται η καθ' ύψος κατανομή των σεισμικών φορτίων να γίνεται σύμφωνα με τη σχέση:
(3.15)
όπου zi η απόσταση της στάθμης i από τη βάση.
4. Η κατανομή των σεισμικών φορτίων σύμφωνα με τη σχέση (3.15) επιτρέπεται να εφαρμόζεται επίσης στις παρακάτω περιπτώσεις:
(α) Μη κανονικά κτίρια σπουδαιότητας Σ1, Σ2 και Σ3 μέχρι δύο ορόφους σε οποιαδήποτε ζώνη σεισμικής επικινδυνότητας.
(β) Μη κανονικά κτίρια σπουδαιότητας Σ1 και Σ2 μέχρι τρεις ορόφους στις ζώνες σεισμικής επικινδυνότητας Ι, ΙΙ.
(γ) Μη κανονικά κτίρια σπουδαιότητας Σ1 και Σ2 μέχρι τέσσερις ορόφους στις ζώνες σεισμικής επικινδυνότητας Ι.
5.3. Χωρική επαλληλία
1. Για ταυτόχρονη στατική δράση των οριζόντιων σεισμικών φορτίων Fi κατά τις κύριες διευθύνσεις x, y του κτιρίου σύμφωνα με την παράγραφο 3.3.3, καθώς επίσης και των κατακόρυφων σεισμικών φορτίων σύμφωνα με την παράγραφο 3.6, οι πιθανές ακραίες τιμές ex A τυχόντος μεγέθους απόκρισης Α υπολογίζονται από τη σχέση:
(3.16)
όπου A,x, A,y και A,z οι τιμές του υπόψη μεγέθους (με το πρόσημό τους) για ανεξάρτητη στατική φόρτιση του κτιρίου κατά τις θεωρούμενες διευθύνσεις x, y, και z, αντίστοιχα.
2. Η πιθανή ταυτόχρονη προς την ex A τιμή B,A ενός άλλου μεγέθους απόκρισης Β υπολογίζεται από την σχέση:
(3.17)
όπου Β,x, Β,y και Β,z οι τιμές του μεγέθους Β (με το πρόσημό τους) για ανεξάρτητη στατική φόρτιση του κτιρίου κατά τις θεωρούμενες διευθύνσεις x, y, και z, αντίστοιχα.
3. Για την διαστασιολόγηση στοιχείων από οπλισμένο σκυρόδεμα εφαρμόζεται η μεθοδολογία της παραγράφου 3.4.4. (3).
4. Εναλλακτικά, αντί της προηγούμενης μεθοδολογίας, επιτρέπεται η διαστασιολόγηση με τον δυσμενέστερο από τους επόμενους συνδυασμούς στατικών φορτίσεων:
όπου λ=μ=0.30. Στις συμβολικές αυτές σχέσεις τα Fx, Fy και Fz παριστάνουν τα διανύσματα των σεισμικών φορτίων κατά τις διευθύνσεις x, y και z και το F παριστάνει την συνισταμένη σεισμική φόρτιση. Στη συνήθη περίπτωση αγνόησης της κατακόρυφης συνιστώσας του σεισμού (βλέπε παράγραφο 3.1.1. (5)), ο τρίτος συνδυασμός παραλείπεται και τίθεται μ = 0 στους δύο πρώτους.
6. Κατακόρυφη σεισμική διέγερση
1. Ο έλεγχος μεμονωμένων φορέων για κατακόρυφη σεισμική διέγερση μπορεί να γίνει με την απλοποιημένη φασματική μέθοδο ως ακολούθως:
(α) Η κατακόρυφη σεισμική διέγερση εφαρμόζεται στα σημεία στήριξης του φορέα.
(β) Η θεμελιώδης ιδιοπερίοδος του φορέα υπολογίζεται με τον τύπο του Rayleigh:
(3.18)
όπου yi (i=1,2,...,n) οι μετατοπίσεις των συγκεντρωμένων μαζών mi λόγω των κατακόρυφων φορτίων mi·l.
(β) Τα κατακόρυφα σεισμικά φορτία υπολογίζονται από τη σχέση:
(3.19)
όπου Μ η ταλαντούμενη μάζα του φορέα, Φd,v(T) η τιμή της φασματικής επιτάχυνσης σχεδιασμού και (n) ο αριθμός των συγκεντρωμένων μαζών mi.
2. Τα σεισμικά φορτία εφαρμόζονται στατικά επάνω στον φορέα και η προκύπτουσα ένταση, τόσο του ίδιου όσο και των στοιχείων στήριξής του, προστίθεται στην ένταση από τις οριζόντιες συνιστώσες του σεισμού, αν δεν εφαρμοσθεί ακριβέστερη μορφή επαλληλίας.
3. Η προηγούμενη μέθοδος επιτρέπεται να εφαρμόζεται ανεξάρτητα από την μέθοδο υπολογισμού για την οριζόντια σεισμική διέγερση.
7. Προσαρτήματα κτιρίων
1. Προσαρτήματα κτιρίων είναι κατασκευές ή τμήματα κατασκευών που δεν αποτελούν οργανικό μέρος του σκελετού όπως π.χ. στηθαία, καπνοδόχοι κ.λ.π. Η σεισμική απόκριση ενός προσαρτήματος επηρεάζεται από την σεισμική απόκριση του κτιρίου επειδή η κίνηση του σημείου στήριξης πάνω στο κτίριο είναι διαφορετική από την κίνηση του εδάφους.
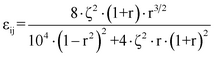
2. Εάν δεν γίνεται ακριβέστερος υπολογισμός η οριζόντια σεισμική δύναμη για τον υπολογισμό των προσαρτημάτων και των στοιχείων στήριξης τους υπολογίζεται από την εξίσωση (4.17), όπου ο σεισμικός συντελεστής ε δίδεται από την σχέση:
(3.20)
όπου:
(3.21)
Τπ η ιδιοπερίοδος του προσαρτήματος για πλήρη πάκτωση στο στηρίζον υπόβαθρο,
Τ η θεμελιώδης ιδιοπερίοδος του κτιρίου,
z η στάθμη στήριξης του προσαρτήματος και
H το ύψος του κτιρίου.
3. Στην περίπτωση εγκαταστάσεων μεγάλης σπουδαιότητας ή επικινδύνων συνιστάται η εκτέλεση ακριβέστερου υπολογισμού με τη χρήση φάσματος απόκρισης του δαπέδου στήριξης και ρεαλιστική προσομοίωση της εγκατάστασης.