| Συνδεθείτε στην Υπηρεσία Νομοσκόπιο | | | | | Νέοι χρήστες | | Εάν είστε νέος χρήστης, θα πρέπει να δημιουργήσετε ένα ΔΩΡΕΑΝ λογαριασμό προκειμένου να φύγει το παράθυρο αυτό και να αποκτήσετε πλήρη πρόσβαση στην υπηρεσία Νομοσκόπιο. | | Δημιουργία νέου λογαριασμού | | |
1. Χρήση του τύπου του Colebrook
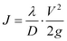
Για όλα τα υλικά σωλήνων, οι ανά μονάδα μήκους γραμμικές απώλειες φορτίου (σε στήλη νερού) υπολογίζονται με τον τύπο:

όπου:
D = η εσωτερική (καθαρή, δηλαδή η διάμετρος της υγρής διατομής) διάμετρος του αγωγού, εις m
V = η ταχύτητα του νερού, σε m/s,
g = η επιτάχυνση της βαρύτητας, m/s2,
λ = ο συντελεστής τριβών, που σε στροβιλώδη ροή και σωλήνες ετερογενούς τραχύτητας υπολογίζεται από τη σχέση του Colebrook:

όπου:
Re = ο αριθμός του Reynolds,
Κ = η ισοδύναμη απόλυτη τραχύτητα της εσωτερικής επιφανείας του σωλήνα.
Πιο πέρα από το όριο της μεταβατικής ροής (δηλαδή για μεγαλύτερες τιμές του Re) επιτρέπεται στη σχέση αυτή του Colebrook να παραλείπεται ο προσθετέος που εξαρτάται από το Re.
2. Θερμοκρασία νερού
Για τον υπολογισμό της τιμής του αριθμού του Reynolds είναι εύλογο για τη Χώρα μας να λαμβάνεται θερμοκρασία νερού από 10 μέχρι 20 °C. Σε κάθε περίπτωση πρέπει να λαμβάνεται η σωστή αντίστοιχη θερμοκρασία.
3. Ισοδύναμη απόλυτη τραχύτητα
Οι τιμές της ισοδύναμης απόλυτης τραχύτητας (Κ) εξαρτώνται από το υλικό, τον τρόπο κατασκευής, την τυχόν εσωτερική προστασία των σωλήνων και ορίζονται ύστερα από παράλληλη εξέταση των φυσικοχημικών ιδιοτήτων του νερού, που σχετίζονται με τη διάβρωση ή την εναπόθεση ιζημάτων στους σωλήνες.
Συνιστάται (αν συντρέχουν οι προϋποθέσεις) να λαμβάνονται οι ακόλουθες τιμές ισοδύναμης απόλυτης τραχύτητας σωλήνων:
| • | Αγωγοί από σωλήνες σκληρού PVC, ύστερα από χρήση: Κ = 0,05 μέχρι 0,1 mm |
| • | Αγωγοί από σωλήνες αμιαντοτσιμέντου, ύστερα από χρήση: Κ = 0,2 μέχρι 0,5 mm |
| • | Αγωγοί συγκολλημένοι χαλύβδινοι, ύστερα από χρήση: Κ = 0,4 μέχρι 2 mm |
| • | Αγωγοί από σωλήνες χυτοσιδήρου, ύστερα από χρήση: Κ = 1 μέχρι 1,5 mm |
| • | Αγωγοί από σωλήνες σκυροδέματος, ύστερα από χρήση: Κ = 0,5 μέχρι 2,5 mm |
Στις υπολογιζόμενες γραμμικές απώλειες φορτίου, με εφαρμογή των ανωτέρω τιμών του Κ, περιλαμβάνονται οι απώλειες στους αρμούς συνδέσεως των σωλήνων. Ο Μελετητής μπορεί να προτείνει και διαφορετικές τιμές για το συντελεστή Κ, εάν η πρόταση στηρίζεται σε κατάλληλες μετρήσεις που να αναφέρονται στις συνθήκες λειτουργίας του συγκεκριμένου δικτύου. Πάντως σχετικά θα εγκρίνει η Υπηρεσία του Εργοδότου. Σε κάθε περίπτωση πρέπει να εκλέγεται και να αιτιολογείται π σωστή τιμή του Κ, για λειτουργία του έργου σ' όλη τη διάρκεια ζωής του.
4. Τοπικές απώλειες φορτίου
Οι υπόψη γραμμικές απώλειες αυξάνονται κατά ένα ποσοστό, για συνυπολογισμό των τοπικών απωλειών φορτίου. Το ποσοστό αυτό δεν μπορεί να λαμβάνεται μικρότερο από 10 μέχρι 15%. Το ποσοστό αυτό μπορεί να εκτιμηθεί σε αντιπροσωπευτικά μεγάλη διαδρομή, κατά μήκος του κυρίου ή των κυρίων αγωγών του δικτύου, ύστερα από υπολογισμό των τοπικών απωλειών.