| Συνδεθείτε στην Υπηρεσία Νομοσκόπιο | | | | | Νέοι χρήστες | | Εάν είστε νέος χρήστης, θα πρέπει να δημιουργήσετε ένα ΔΩΡΕΑΝ λογαριασμό προκειμένου να φύγει το παράθυρο αυτό και να αποκτήσετε πλήρη πρόσβαση στην υπηρεσία Νομοσκόπιο. | | Δημιουργία νέου λογαριασμού | | |
1. Γενικότητες
Στη μελέτη πρέπει να περιλαμβάνονται υπολογισμοί των συστημάτων προστασίας των έργων από πλήγματα που προκαλούνται στο δίκτυο. Πρέπει να αποδεικνύεται η καταλληλότητα της μεθόδου υπολογισμού που θα χρησιμοποιηθεί. Τα κατωτέρω είναι απλώς υποδείξεις για έρευνα.
2. Εναλλακτικές λύσεις για μείωση υδραυλικών πληγμάτων
Για την αντιμετώπιση των προκαλουμένων στο δίκτυο υδραυλικών πληγμάτων, πρέπει να εκλέγονται λύσεις με επιδίωξη μικρού κόστους σε συνδυασμό με στατιστικώς επαρκή ασφάλεια στη λειτουργία των έργων.
Προς τούτο, πλέον της λύσεως εγκαταστάσεως αντιπληγματικών συσκευών (μειώσεως υπερπιέσεων κλπ.), πρέπει να εξετάζονται όλες οι προσφερόμενες δυνατότητες, όπως π.χ.
(α) Η μείωση ταχύτητας στους αγωγούς κάτω από τα ανώτερα όρια ταχύτητας που καθορίζονται στο άρθρο 4 (με επιλογή μεγαλύτερης διαμέτρου),
(β) Η επιλογή σωλήνων ανώτερης κλάσεως,
(γ) Η μείωση της διακοπτόμενης παροχής με πρόβλεψη υδροληψιών μικρότερου αριθμού στομίων ή με πρόβλεψη υδροληψιών με δυνατότητα ανεξάρτητης κατά στόμιο διακοπής ροής,
(δ) Η μείωση της διακοπτόμενης παροχής, με πρόβλεψη εγκαταστάσεως μικρότερης δικλείδας σε παράλληλη με την κυρία δικλείδα σύνδεση.
3. Υπολογισμός υπερπιέσεων
Γιο την αντιμετώπιση των υδραυλικών πληγμάτων, που προκαλούνται από χειρισμό των δικλείδων ελέγχου ροής και των υδροληψιών, υπολογίζεται η αύξηση πιέσεως που προκαλείται στους αγωγούς και επιλέγονται (κατά θέση και είδος) οι απαιτούμενες αντιπληγματικές συσκευές, για τον περιορισμό της πιέσεως στα όρια που καθορίζονται σύμφωνα με την παράγραφο 5.
Για τον υπολογισμό της αυξήσεως πιέσεως, που προκαλείται από τις υδροληψίες, να εξετάζεται η περίπτωση κλεισίματος μιας και μόνο υδροληψίας (της δυσμενέστερης από την αντίστοιχη ομάδα υδροληψιών), καθ' όσον η περίπτωση της συμπτώσεως του χρόνου χειρισμού δύο ή περισσοτέρων γειτονικών υδροληψιών κρίνεται σπάνια.
Για τον υπολογισμό της υπερπιέσεως, πλην ειδικών περιπτώσεων, επιτρέπεται να χρησιμοποιηθεί η κατωτέρω απλουστευμένη μέθοδος υπολογισμού.
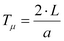
Πρόκειται για την αναλυτική μέθοδο υπολογισμού της μεγίστης υπερπιέσεως, που μπορεί να προκληθεί κατά τον χειρισμό δικλείδας που είναι εγκατεστημένη στο τέλος αγωγού, όταν ο αγωγός αυτός (σε όλο το μήκος του L) έχει σταθερά χαρακτηριστικά (διατομή, υλικό, πάχος) και υδροδοτείται από δεξαμενή σταθερής στάθμης.
Η μέγιστη υπερπίεση εξαρτάται από το χρόνο (ΤX) χειρισμού της δικλείδας σε σχέση με το χρόνο (Τμ) που απαιτείται για μετάβαση στην αρχή του αγωγού και επιστροφή στη θέση της δικλείδας του κύματος υπερπιέσεως:

όπου:
α είναι η ταχύτητα μεταδόσεως του κύματος.
Εάν ΤX < Τμ, τότε η μέγιστη υπερπίεση (ΔP) προκύπτει από τον τύπο του Joukowsky:

όπου:
ΔV είναι η μεταβολή (περιορισμός) της ταχύτητας και
g η επιτάχυνση της βαρύτητας.
Στην περίπτωση αυτή, η υπερπίεση (αύξηση πιέσεως) ΔP εξαρτάται από το υλικά, το πάχος, τη διάμετρο του αγωγού και τις λοιπές παραμέτρους που καθορίζουν την ταχύτητα μεταδόσεως του κύματος.
Εάν ΤX > Τμ, τότε η μέγιστη υπερπίεση ΔP προκύπτει από τον τύπο του Michaud που προϋποθέτει γραμμική μεταβολή της ταχύτητας):

Στην περίπτωση αυτή, η υπερπίεση ΔP δεν εξαρτάται από το υλικό, το πάχος, τη διάμετρο του αγωγού.
Η ταχύτητα (α) μεταδόσεως του κύματος υπολογίζεται όπως αναπτύσσεται στην ακόλουθη παράγραφο 4.
4. Ταχύτητα μεταδόσεως ελαστικών κυμάτων
(α) Η ταχύτητα μεταδόσεως των ελαστικών κυμάτων πιέσεως, σε αγωγό από ομοιογενές υλικό με χαρακτηριστικά σταθερά σε όλο το μήκος του, υπολογίζεται με τον τύπο:

όπου:
g = η επιτάχυνση της βαρύτητας,
γ = το ειδικό βάρος του νερού,
ε = το μέτρο ελαστικότητας (όγκου) του νερού,
Ε = το μέτρο ελαστικότητας του υλικού των σωλήνων,
D = η εσωτερική διάμετρος του σωλήνα
e = το πάχος του σωλήνα,
c = συντελεστής, που εξαρτάται από τον λόγο του Poisson και τις οριακές συνθήκες παραμορφώσεως του σωλήνα
(β) Για σωλήνες, των οποίων δεν παρακωλύεται η ελαστική συμπεριφορά εγκαρσίως ή κατά μήκος (αρμοί συνδέσεως, που επιτρέπουν συστολή και διαστολή), και των οποίων το πάχος είναι μικρό (D/α > 25), ο συντελεστής C είναι ίσος με τη μονάδα
(γ) Για σωλήνες από οπλισμένο σκυρόδεμα (χαλαρού ή προεντεταμένου οπλισμού), η ταχύτητα μεταδόσεως υπολογίζεται για ελαστικά ισοδύναμο χαλύβδινο σωλήνα (δηλαδή για σωλήνα με πάχος που προκύπτει ύστερα από αναγωγή του πάχους σκυροδέματος σε πάχος χαλύβδινου σωλήνα, βάσει των μέτρων ελαστικότητας, πλέον το ανηγμένο πάχος του οπλισμού).
(δ) Σε άλλες περιπτώσεις (όπως π.χ. στην περίπτωση σωλήνων μεγάλου πάχους, αγωγών με ασυνεχείς ενισχύσεις, αγωγών μορφής σήραγγας), η ταχύτητα υπολογίζεται βάσει των αντιστοίχων τύπων.
(ε) Για τον υπολογισμό της ταχύτητας μεταδόσεως πρέπει να ληφθούν υπόψη και οι συνθήκες που τυχόν εμποδίζουν την ελαστική συμπεριφορά εγκαρσίως ή κατά μήκος.
5. Απλουστευτικές παραδοχές
(α) Εάν γίνει δεκτή η χρησιμοποίηση της μεθοδολογίας της παραγράφου 3 προκύπτει ότι:
| • | ο τύπος του Joukowsky χρησιμοποιείται για την περίπτωση που  |
| • | ο τύπος του Michaud χρησιμοποιείται για την περίπτωση που |
Κατά την χρησιμοποίηση των τύπων αυτών επιτρέπεται (απλουστευτικά) να λαμβάνεται ως μήκος L η απόσταση της εξεταζόμενης δικλείδας ελέγχου ροής ή υδροληψίας από το πλησιέστερο προς τα ανάντη της σημείο εκτονώσεως της υπερπιέσεως. Ως σημεία εκτονώσεως μπορούν να λαμβάνονται οι αντιπληγματικές συσκευές, δεξαμενές, αεροφυλάκια, καθώς επίσης και οι θέσεις διακλαδώσεων με αγωγούς σημαντικά μεγαλύτερης διαμέτρου (η εξασθένηση της υπερπιέσεως στη διακλάδωση είναι ανάλογη του τετραγώνου του λόγου των διαμέτρων). Εάν ο αγωγός, στο μήκος που εξετάζεται, δεν έχει ενιαία διάμετρο, τότε το μήκος L, που χρειάζεται για την εφαρμογή του τύπου, υπολογίζεται με αναγωγή των επί μέρους μηκών σε ισοδύναμα μήκη και άθροισή τους, όπως σημειώνεται στον κατωτέρω τύπο:

όπου:
L1, L2, L3 τα επί μέρους μήκη,
F1, F2, F3 οι αντίστοιχες διατομές,
L το συνολικό μήκος, ανηγμένο σε διατομή F1.

(β) Εάν ένας αγωγός Α1 διακλαδίζεται σε άλλους αγωγούς π.χ. τους Α2 και Α3, τότε ένα κύμα υπερπιέσεως W1 που δημιουργήθηκε στον αγωγό Α1 σε χρόνο έστω 1, φθάνει στον κόμβο Κ, σε χρόνο έστω 2 με τιμή που μπορεί να υπολογισθεί οπό τη σχέση W = Φ x W1 όπου Φ ο συντελεστής μεταβιβάσεως του πλήγματος:

όπου:
F1, F2, F3 είναι οι διατομές των αγωγών A1, A2, A3,
α1, α2, α3 είναι οι αντίστοιχες ταχύτητες διαδόσεως του κύματος.
Στον χρόνο 2, το κύμα W εισέρχεται στους σωλήνες Α2 και Α3 και ανακλάται στον κόμβο μέσα στον σωλήνα Α1. Εάν το άκρο του σωλήνα Α2 είναι τυφλό (μηδενική παροχή) τότε το κύμα W φτάνει στο άκρο με τιμή 2 x W σε χρόνο 3. Από τη στοιχειώδη αυτή ανάλυση προκύπτει, ότι η ύπαρξη κόμβων ανάντη του σημείου γενέσεως του πλήγματος έχει πάντοτε ως αποτέλεσμα τη δημιουργία σημαντικών υπερπιέσεων στο τυφλό άκρο.
Το γεγονός ότι κατά τις πρώτες φάσεις του πλήγματος η υπερπίεση στο τυφλό άκρο 2 εμφανίζεται ίση προς το διπλάσιο της υπερπιέσεως στον κόμβο, δεν σημαίνει ότι και η απολύτως μέγιστη υπερπίεση στο τυφλό άκρο θα είναι αναγκαστικά ίση προς το διπλάσιο της υπερπιέσεως στο σημείο του κόμβου, διότι το φαινόμενο στις ακόλουθες φάσεις του πλήγματος περιπλέκεται. Συνήθως τα πλήγματα που έχουν προκληθεί στον ίδιο το σωλήνα είναι μεγαλύτερα από τα εξελισσόμενα στον σωλήνα ύστερα από μεταβίβαση. Σε εξαιρετικές περιπτώσεις, όπως το κλείσιμο δικλείδας σε κεντρικό αγωγό με γειτνίαση βραχίονα μικρής διαμέτρου χωρίς αντιπληγματική βαλβίδα, επιβάλλεται προσεχτικότερη μελέτη.
6. Ενεργός χρόνος διακοπής της ροής
Για κάθε περίπτωση διακοπής της ροής, εκλέγεται ενεργός χρόνος διακοπής, εναρμονισμένος με το υλικό που προβλέπεται να χρησιμοποιηθεί για το έργο και τις συνθήκες πιέσεως του δικτύου.
Ο ενεργός χρόνος είναι διαφορετικός από το ολικό χρονικό διάστημα του χειρισμού. Το χρονικό διάστημα διακοπής υδροληψίας (με ρυθμιστή πιέσεως και περιοριστή παροχής) εξαρτάται, εκτός από τη διάρκεια χειρισμού, επίσης από τον τρόπο χρησιμοποιήσεως του στομίου (μέσω αρδευτικής πτέρυγας ή όχι) και από την ανάντη πίεση στο δίκτυο.
Ενδεικτικές τιμές ενεργού χρόνου, που είναι εύλογο να χρησιμοποιηθούν (μετά διερεύνηση), είναι οι εξής:
| • | επί υδροληψιών: 3 δευτερόλεπτα |
| • | επί δικλείδων ελέγχου ροής (χειροκίνητων με σύρτη τύπου σφήνας) |
- (α) για διαμέτρους 100 μέχρι 300 mm: 5 sec
- (β) για διαμέτρους 450 mm και άνω: 10 sec
| • | επί δικλείδων ελέγχου ροής άλλων τύπων: κατά περίπτωση. |
7. Αντιπληγματικές συσκευές αποφορτίσεως
(α) Οι συσκευές αποφορτίσεως τοποθετούνται οι ύστερα από διερεύνηση, εκεί όπου υπάρχει περίπτωση αναπτύξεως σημαντικών υπερπιέσεων όπως:
| • | στο αντλιοστάσιο (όταν υπάρχουν ανταγωνιστικά φορτία στο δίκτυο) |
| • | στους κυρίους κόμβους του δικτύου ανάντη των δικλείδων, |
| • | στα χαμηλά σημεία αγωγών μεγάλης διαμέτρου (όταν η μηκοτομή έχει μεγάλες ανωμαλίες) |
| • | κατά μήκος των κυρίων αγωγών, στις κατάλληλες αποστάσεις, γιατί από τη λειτουργία των συσκευών αποφορτίσεως στα πέρατα του κυρίου αγωγού προκαλείται διαδοχικά (από συσκευή σε συσκευή προς την αρχή του αγωγού) υπερύψωση της πιεζομετρικής γραμμής, |
| • | σε βαρυκεντρικά σημεία ομάδας υδροληψιών. |
Είναι σφάλμα να εκλαμβάνεται, ότι σε κάθε σημείο της προστατευόμενης περιοχής του δικτύου εξασφαλίζεται το ίδιο ανώτερο όριο πιέσεως, που εξασφαλίζει η συσκευή αποφορτίσεως στο σημείο εγκαταστάσεως της.
(β) Για την επιλογή των αντιπληγματικών συσκευών αποφορτίσεως λαμβάνονται υπόψη
| • | η μέγιστη υδροστατική πίεση συνήθους (χωρίς πλήγμα) λειτουργίας, όπως η πίεση αυτή καθορίζεται στο άρθρο 5 (πίεση Ρ0). Βάσει της πιέσεως αυτής ορίζεται η πίεση στεγανότητας της συσκευής (π.χ. κατά 5% μεγαλύτερη της Ρ0), |
| • | η επιτρεπτή επαύξηση της πιέσεως κατά τη διαφυγή της παροχής αποφορτίσεως, (σχετικό είναι το άρθρο 5 παράγραφος 2). |
(γ) Στο έργο εγκαταστάσεως αντιπληγματικής συσκευής αποφορτίσεως πρέπει να περιλαμβάνονται:
| • | δικλείδα ασφαλείας, με δυνατότητα χειρισμού σε όλες τις συνθήκες λειτουργίας, |
| • | διάταξη μετρήσεως πιέσεως, |
| • | έργο απαγωγής των υδάτων |