| Συνδεθείτε στην Υπηρεσία Νομοσκόπιο | | | | | Νέοι χρήστες | | Εάν είστε νέος χρήστης, θα πρέπει να δημιουργήσετε ένα ΔΩΡΕΑΝ λογαριασμό προκειμένου να φύγει το παράθυρο αυτό και να αποκτήσετε πλήρη πρόσβαση στην υπηρεσία Νομοσκόπιο. | | Δημιουργία νέου λογαριασμού | | |
Εγκύκλιος 1806/ΑΖ9Α/09-08-1995: Διευκρινήσεις και παραδείγματα για τον καθορισμό αμοιβής Μηχανικών για εκπόνηση μελέτης και επίβλεψης αποκατάστασης κτιρίων που υπέστησαν βλάβες από τους σεισμούς.
Έχοντας υπόψη:
1. Το προεδρικό διάταγμα 696/1974 (ΦΕΚ 301/Α/1974) περί αμοιβών Μηχανικών, όπως τροποποιήθηκε με το προεδρικό διάταγμα 515/1989 (ΦΕΚ 219/Α/1989) και διευκρινίστηκε με νεότερες αποφάσεις και εγκυκλίους.
2. Την απόφαση 1356/1991 (ΦΕΚ 430/Β/1991) περί εκπτώσεως 50% στις αμοιβές Μηχανικών.
Διευκρινίζουμε τα παρακάτω:
Α. Διευκρινίζουμε τρεις (3) κατηγορίες (Ι, ΙΙ, ΙΙΙ) κατηγορίες μελετών επισκευής όπως αναφέρονται στο παραπάνω υπόψη (1).
ΚΑΤΗΓΟΡΙΑ Ι: Υπάγονται μελέτες επισκευής κτιρίων με φέροντα οργανισμό από ωπλισμένο σκυρόδεμα ή φέρουσες τοιχοποιίες (πέτρινα) όπου προβλέπονται εργασίες όπως επισκευή ή αντικατάσταση στέγης, σοβατίσματα, ανακατασκευές δαπέδων, τοίχων, καπνοδόχων, μονώσεων, επισκευές - αποκαταστάσεις εγκαταστάσεων δικτύων κ.λ.π.
ΚΑΤΗΓΟΡΙΑ ΙΙ: Υπάγονται μελέτες επισκευής κτιρίων με φέροντα οργανισμό από ωπλισμένο σκυρόδεμα ή φέρουσες τοιχοποιίες (πέτρινα) στα οποία η μελέτη επισκευής προβλέπει εργασίες όπως ρητινενέσεις, τσιμεντενέσεις, μανδύες σε φέρουσες τοιχοποιίες, ανακατασκευή πλάκας ΟΣ κ.λ.π.
Η εκτίμηση των εντατικών μεγεθών που απαιτούνται γίνεται με χρήση προσεγγιστικών ή απλουστευμένων μεθόδων.
ΚΑΤΗΓΟΡΙΑ ΙΙΙ: Υπάγονται μελέτες επισκευής κτιρίων με φέροντα οργανισμό από ωπλισμένο σκυρόδεμα στα οποία η μελέτη επισκευής προβλέπει εργασίες όπως μανδύες σε τοιχία ή υποστυλώματα, νέα στοιχεία, ενίσχυση μη βλαβέντων στοιχείων με απαίτηση αντισεισμικού υπολογισμού.
Β.1 Σημειώνουμε ότι για τις παραπάνω κατηγορίες η αμοιβή Μηχανικού (μελέτης και επίβλεψης) εξάγεται αθροιστικά για χωριστούς εγκεκριμένους από την Υπηρεσία προϋπολογισμούς, όπως περιγράφεται για κάθε κατηγορία Ι, ΙΙ ή ΙΙΙ (άρθρο 83, παράγραφος 11 του υπόψη (1).
2. Ο συντελεστής (κ) και (μ) μελέτης και επίβλεψης για τις κατηγορίες Ι, ΙΙ, ΙΙΙ όπως αναφέρονται στο υπόψη (1), είναι οι παρακάτω:
ΚΑΤΗΓΟΡΙΑ
|
Ι
|
ΙΙ
|
ΙΙΙ
|
Μελέτη κ/μ
|
2,00/26,00
|
2,40/28,00
|
3,00/37,00
|
Επίβλεψη κ/μ
|
1,10/20,00
|
1,30/25,00
|
1,30/25,00
|
3. Ο συντελεστής (λ) του άρθρου 4 του υπόψη (1) ορίζεται για τη χρονική περίοδο σύνταξης του προϋπολογισμού μελέτης (ημερομηνία υποβολής μελέτης στην Υπηρεσία) (σήμερα λ=37,80).
4. Βάσει του άρθρου 88 και άρθρου 95, παράγραφος 10 του υπόψη (1), προβλέπεται προσαύξηση των αμοιβών μελέτης, επίβλεψης κατά 30%
5. Για την κατηγορία ΙΙΙ, η αμοιβή μελέτης (και όχι επίβλεψης) προσαυξάνεται κατά 80% όπως προβλέπεται από το άρθρο 83, παράγραφος 7 του υπόψη (1).
6. Βάσει της υπόψη (2) απόφασης προβλέπεται μείωση της συνολικής αμοιβής μελέτης, επίβλεψης σε ποσοστό πενήντα στα εκατό (50%).
Γ. Παραδείγματα εφαρμογής των παραπάνω
1ον ΚΑΤΗΓΟΡΙΑ (Ι)
Έστω εγκεκριμένος προϋπολογισμός δαπάνης Σ
Σ=1000000 δραχμές
Για τη μελέτη: κ=2,00 και μ=26,00
Για την επίβλεψη: κ=1,10 και μ=20,00
λ=37,80 (Ιούλιος 1995)
α) Για τη μελέτη

αμοιβή μελέτης:

β) Για την επίβλεψη

αμοιβή επίβλεψης:

ΣΥΝΟΛΙΚΗ ΑΜΟΙΒΗ: ΑΜ+ΑΕ= 69680 + 50765 = 120445 δραχμές
2ον ΚΑΤΗΓΟΡΙΑ (ΙΙ)
ΣΗΜΕΙΩΣΗ
Έστω συνολικός εγκεκριμένος προϋπολογισμός δαπάνης π=3000000 δραχμές
Ο προϋπολογισμός (π) θα πρέπει να διαχωριστεί (εφόσον τούτο συμβαίνει) σε δύο προϋπολογισμούς κατηγορίας (Ι) και (ΙΙ): Π=ΠΙ+ΠΙΙ
Η αμοιβή για τον ΠΙ βρίσκεται σύμφωνα με το πρώτο παράδειγμα.
Η αμοιβή για τον ΠΙΙ βρίσκεται σύμφωνα με το παρακάτω παράδειγμα.
Η συνολική αμοιβή του Μηχανικού= Αμοιβή για ΠΙ + Αμοιβή για ΠΙΙ
ΠΑΡΑΔΕΙΓΜΑ
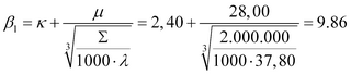
Έστω εγκεκριμένος προϋπολογισμός δαπάνης για την κατηγορία ΙΙ: ΠΙΙ = Σ = 2000000 δραχμές.
Για τη μελέτη: κ=2,40 και μ=28,00
Για την επίβλεψη: κ=1,30 και μ=25,00
λ=37,80
α) Για τη μελέτη

αμοιβή μελέτης:
β) Για την επίβλεψη

αμοιβή επίβλεψης:

Αμοιβή για τον προϋπολογισμό κατηγορίας ΙΙ: ΑΜ+ΑΕ=128180+103480=231660 δραχμές
3ον ΚΑΤΗΓΟΡΙΑ (ΙΙΙ)
ΣΗΜΕΙΩΣΗ
Όπως και στο προηγούμενο παράδειγμα διαχωρίζουμε τον συνολικό εγκεκριμένο προϋπολογισμό δαπάνης σε προϋπολογισμούς κατηγορίας (Ι), (ΙΙ) και (ΙΙΙ) (εφόσον τούτο συμβαίνει), οι δε αμοιβές υπολογίζονται ξεχωριστά για κάθε κατηγορία. Η αμοιβή του Μηχανικού είναι το άθροισμα των αμοιβών για προϋπολογισμούς κατηγορίας Ι+ΙΙ+ΙΙΙ.
Η αμοιβή για προϋπολογισμό της κατηγορίας ΙΙΙ βρίσκεται όπως παρακάτω.
ΠΑΡΑΔΕΙΓΜΑ
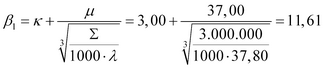
Έστω εγκεκριμένος προϋπολογισμός δαπάνης για την κατηγορία ΙΙΙ: ΠΙΙΙ=Σ=3000000 δραχμές.
Για τη μελέτη: κ=3,00 και μ=37,00
Για την επίβλεψη: κ=1,30 και μ=25,00
λ=37,80
α) Για τη μελέτη

αμοιβή μελέτης:

β) Για την επίβλεψη

αμοιβή επίβλεψης:

Αμοιβή για τον προϋπολογισμό κατηγορίας ΙΙΙ: ΑΜ+ΑΕ=407511+138840=546351 δραχμές.